Qual é o objetivo deste artigo?
Este artigo tem como função complementar o material referente ao uso de controladores (ou compensadores) em sistemas de controle. Nesta publicação será dada uma continuidade ao conteúdo sobre o controlador integral, onde pretende-se realizar algumas comparações entre os sistemas dotados deste tipo de controlador e os sistemas sob a influência de um controlador proporcional.
Princípio de ação do controlador integral
No artigo anterior, foi demonstrado para o leitor qual era a consequência da utilização de um controlador integral em sistemas de primeira e segunda ordem (sem zeros), no que diz respeito à localização dos polos do sistema em malha fechada. No entanto, nada foi dito em relação às repostas destes sistemas quando os mesmos são submetidos a um degrau unitário em suas respectivas entradas. Para começar esta abordagem, considere o sistema de primeira ordem apresentado no artigo anterior, dado pela seguinte função de transferência de malha aberta:

Imagine agora que este sistema foi colocado em malha fechada juntamente com um controlador proporcional em seu ramo direto (caso o leitor tenha dificuldade nesta parte, favor consultar o primeiro artigo da série) conforme a figura abaixo:

A função de transferência deste sistema em malha fechada, ou seja, que relaciona a saída S(s) com a referência R(s), é dada por:

Desta maneira, torna-se possível representar o caminho percorrido pelos polos no plano complexo de acordo com a variação do ganho proporcional. Observe na figura a seguir que conforme Kp é aumentado, o polo é deslocado para a esquerda, diminuindo, portanto, a constante de tempo do sistema e deixando o mesmo mais rápido.
Além do aumento da velocidade do sistema rumo à resposta em regime permanente, observe também que, como já foi dito anteriormente, o incremento do ganho proporcional também diminui o desvio entre a resposta desejada e a resposta em regime permanente do sistema em questão. Isto é, o erro estacionário.
E se for utilizado um controlador integral, como serão as respostas do sistema?
No caso do uso de um controlador integral colocado no ramo direto, antecedendo o sistema, tem-se a seguinte configuração:

Note que desta vez o controlador proporciona um polo ao sistema, sendo que este encontra-se localizado na origem do plano complexo. Desta maneira pode-se adotar a seguinte função de transferência para o sistema em malha fechada:

Observe que o polo inserido no sistema pelo controlador integral faz com que a ordem do mesmo seja aumentada. Portanto, o sistema que em malha aberta era de primeira ordem, passa a ser, então, caracterizado como um sistema de segunda ordem e, consequentemente, o caminho percorrido pelos polos do sistema em malha fechada é alterado.
A figura abaixo ilustra de maneira bem clara que, com o incremento do ganho integral Ki, os polos do sistema vão se aproximando, até o momento em que se encontram e, então, passam a se afastar do eixo real, sendo polos complexos conjugados.
Na figura abaixo pode-se ver nitidamente que o comportamento do sistema é, de fato, um comportamento de um sistema de segunda ordem, onde, para valores pequenos de Ki, o sistema apresenta uma resposta sobreamortecida. E para valores um pouco mais elevados, a saída já apresenta oscilações, caracterizando, portanto, um sistema subamortecido (mais rápido, porém mais oscilatório).
Até o presente momento os efeitos dos controladores nas respostas dos sistemas foram analisados separadamente, porém, a partir de agora, estes serão unidos, para que o leitor possa entender as diferenças entre estas duas formas de controle. Na figura abaixo estão representadas as curvas mostradas nas figuras a e b
O primeiro ponto que deve ser observado na figura acima é o tempo que os sistemas levam para atingir o regime permanente, isto é, para permanecer com suas saídas estabilizadas. Pode-se observar nitidamente que o sistema, com o controlador proporcional, é muito mais rápido do que o mesmo utilizando o controlador integral.
Observe que na figura 2 que qualquer valor de Kp desloca o polo localizado em -10 para a esquerda, deixando o sistema com uma constante de tempo menor. Portanto mais rápido do que se estivesse em malha aberta.
Em contrapartida, na figura 5, pode-se perceber que valores pequenos de Ki fazem com que o polo localizado em -10 seja deslocado para a direita, aumentando a constante de tempo proveniente deste polo (lembre-se que o sistema sobreamortecido possui duas constantes de tempo). Note que apesar do polo que está localizado na origem ser deslocado para a esquerda (diminuindo portanto a constante de tempo referente ao mesmo), o sistema continua mais lento do que se estivesse em malha aberta.
A figura abaixo é possível observar como o controlador proporcional atua. Note que, a todo momento, o erro é multiplicado pelo ganho proporcional (Kp = 10 neste exemplo) e o resultado desta multiplicação é utilizado como entrada do sistema e em cerca de meio segundo, o erro já permanece constante, ou seja, o sistema atingiu o regime permanente.
Note que, no caso do controlador integral, a todo momento o sinal de erro é integrado no tempo e multiplicado pelo ganho integral (Ki = 10 neste exemplo). Sendo assim, o resultado destas operações é utilizado como sinal de entrada do sistema. Além disso, perceba que a integração é um processo mais demorado para fazer efeito do que a utilização instantânea do erro. Pode-se ver que o sinal de erro demora seis segundos para permanecer constante, ou seja, para atingir o regime permanente.
O segundo ponto que deve ser explorado é o desvio entre as saídas em regime permanente e a referência (saída desejada) aplicada na entrada dos sistemas, ou seja, o erro estacionário. Recomenda-se que o leitor observe atentamente as figuras existentes neste artigo para constatar que, quando o controlador proporcional foi utilizado, sempre houve um determinado erro estacionário, maior ou menor, conforme o valor de Kp. No entanto, quando o controlador integral foi utilizado, o erro estacionário era nulo, independente do valor do ganho integral.
Por que isso acontece?
Existe uma classificação dos sistemas, chamada tipo, de forma que um sistema denominado tipo 0 é aquele que não possui polos na origem, ao passo que um sistema do tipo 1 possui um polo na origem, e assim por diante.
O erro estacionário depende basicamente de dois elementos:
- Sinal aplicado na entrada;
- Tipo do sistema.
Para um sistema estável, o erro estacionário pode ser definido como:

Para prosseguir com mais clareza na análise do erro estacionário, o leitor deve-se lembrar de um teorema bastante importante, chamado de teorema do valor final. Este teorema diz o seguinte:

Sendo assim, considere o sistema representado na figura abaixo, onde G(s) é a função de transferência resultante dos elementos existentes no ramo direto e a realimentação é unitária e negativa.

Para um sistema com esta estrutura, pode-se definir o erro a qualquer momento (erro atuante) como sendo a diferença entre a referência (entrada do sistema ou saída desejada) e a saída atual do sistema.
O erro atuante pode ser calculado da seguinte maneira:

Portanto, calcula-se o erro estacionário para um determinado sistema conforme a equação abaixo:

Observe que, como dito anteriormente, o erro estacionário dependia de dois fatores, sendo um deles a entrada, a qual o sistema era sujeito. Portanto, para uma entrada em degrau (sinal de entrada que está sendo estudado nesta série), faz- se R(s) = 1/s.

O segundo fator, também citado anteriormente, é o tipo do sistema. Observe que, quando o cálculo do limite é realizado, em um sistema tipo 0, o termo s existente nos polos da função de transferência do ramo direto, tende a zero. No entanto, estes termos estão somados com outros números, logo, pode-se perceber que o resultado do valor do erro estacionário torna-se bem definido.
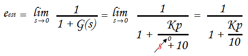
Note como foi obtido o erro estacionário no sistema estudado anteriormente, com o ganho proporcional.

Entretanto, quando o controlador integral é utilizado, o desenvolvimento matemático para a obtenção do erro estacionário é um pouco diferente. Neste momento o leitor deve lembrar que o controlador integral aumenta não só a ordem do sistema, como também o tipo, já que o novo polo inserido no ramo direto pelo controlador está localizado na origem. Então repare que ao calcular o limite representado na equação a seguir um dos termos s (referente ao polo na origem) aparece multiplicando os outros polos na função de transferência do ramo direto (neste caso, apenas um).
Portanto, quando este mesmo termo tende a zero, toda fração na qual ele esta incluso tende a infinito (pelo fato de estar no denominador da fração). Logo, o denominador do limite, como um todo, tende a infinito e o erro estacionário tende a zero.
Esperamos que você tenha gostado deste conteúdo. Sinta-se à vontade para nos dar sugestões, críticas ou elogios. Na próxima parte, abordaremos o uso de um controlador proporcional-integral em sistemas de controle. Deixe seu comentário abaixo!







Daniel, muito boa a explicação! Parabéns pelo trabalho.
Muito obrigado Caio