Qual é o objetivo deste artigo?
Este artigo tem como função dar continuidade ao material referente ao uso de controladores (ou compensadores) em sistemas de controle. O alvo desta publicação será o controlador integral, que, por sua vez, serve de introdução para que o leitor tenha a capacidade de entender o princípio de funcionamento do controlador proporcional integral, também chamado comumente de controlador PI.
Princípio de ação do controlador integral
Como o nome sugere, em um controlador integral, a saída do mesmo, também conhecida como sinal de controle (ou ação de controle), é diretamente proporcional à integral do sinal de erro, ou seja, à integral do erro atuante.
Sabendo o princípio de funcionamento do controlador integral, pode-se analisar o mesmo matematicamente. Logo, levando-se em conta a proporcionalidade direta entre o sinal de controle e a integral do sinal de erro, torna-se válido afirmar que:

Entretanto, para remover o sinal de proporcionalidade entre as duas variáveis em questão, deve-se utilizar uma constante de proporcionalidade relacionando as mesmas. Esta constante é o ganho integral Ki.

De maneira mais didática, pode-se escrever:

Efeitos da ação do controlador integral
Neste momento, serão apresentados os efeitos do uso de um controlador integral em quatro sistemas, dois de primeira ordem e dois de segunda ordem, sendo que um de cada dupla é estável em malha aberta e ou outro não. Isto será feito para que o leitor possa ter uma melhor compreensão da influência do mesmo nos sistemas de controle. A figura 2, mostra o sistema apresentado na figura 1, porém, expresso no domínio da frequência através do uso da Transformada de Laplace.

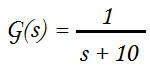
Inicialmente considere o sistema de primeira ordem (sem zeros) descrito no primeiro artigo da série, cuja função de transferência de malha aberta G(s) é dada por:
Caso o leitor tenha lido o artigo citado, o mesmo poderá afirmar que este sistema é instável em malha aberta, em virtude da existência do seu polo estar localizado no semi-plano direito do plano complexo, o que, por sua vez, produz uma componente exponencial cujo módulo é crescente ao longo do tempo.
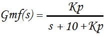
Em contrapartida, também é de conhecimento do leitor que, com a utilização de um controlador proporcional, torna-se possível deslocar o polo do sistema para o semi-plano esquerdo do plano complexo, fazendo com que o mesmo seja estável. A função de transferência do sistema em malha fechada, nesta situação, é dada por:
Observe na figura 3 que, conforme o ganho proporcional Kp é aumentado, o polo do sistema é movimentado para a esquerda, de modo que para kp > 10, o sistema passa a ser estável.
Mas, um controlador integral pode estabilizar este sistema da mesma maneira que o proporcional?
Para responder a esta pergunta, deve-se analisar o sistema em malha fechada com o controlador integral. Imagine que a função G(s) da figura 2 seja, na verdade, o sistema de primeira ordem citado anteriormente, e observe que o controlador que antecede o mesmo é representado por uma função de transferência composta por um ganho Ki e por um polo localizado na origem do plano complexo.
Observe que, para as análises realizadas com o controlador proporcional, o ramo direto das malhas eram compostos por um Ganho, no caso, o ganho proporcional e pela função de transferência de malha aberta do sistema. Sendo assim, para realizar os mesmos tipos de estudo, deve-se deixar o sistema dotado de um controlador integral na mesma forma, incorporando o polo inserido pelo controlador na função de transferência de malha aberta do sistema e consequentemente deixando o ganho Ki sozinho.

De acordo com a figura 4, pode-se observar a realização do procedimento citado, que visa deixar o sistema em um formato análogo ao dos sistemas dotados de um controlador proporcional já estudados.
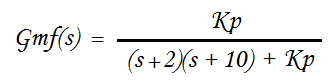
Note que a inserção do polo proveniente do controlador integral na malha de controle faz com que a ordem do sistema seja aumentada. Portanto, a função de transferência do sistema de primeira ordem em malha aberta que está sendo analisada, agora deve ser vista como uma função de transferência de um sistema de segunda ordem (função de transferência em malha aberta original com um polo extra, na origem). A função de transferência do sistema em malha fechada é dada por:

Como foi demonstrado no segundo artigo da série, o comportamento dos polos de um sistema de segunda ordem sem zeros inicia-se nos polos do sistema em malha aberta e à medida que o ganho existente no ramo direto for aumentando, os polos de malha aberta vão convergindo até se encontrarem em um mesmo ponto, onde então, caso o ganho seja aumentado novamente, estes tornam-se polos complexos conjugados.
É importante notar que o polo inserido na origem, passa a ser uma das extremidades do intervalo de valores que os polos podem assumir sobre o eixo real (ao passo que a outra extremidade é o polo já existente, localizado em 10). Portanto, conforme a figura 5, pode-se perceber que a movimentação dos polos está restrita ao semi-plano direito do plano complexo, independente de qualquer valor positivo de Ki (ganho existente no ramo direto, análogo ao Kp) sendo assim, deve-se afirmar que este sistema não pode ser estabilizado pelo controlador integral.
E qual é o efeito sobre um sistema de primeira ordem (sem zeros) estável?
Considere agora que o sistema em questão pode ser representado por uma função de transferência semelhante à anterior, no entanto, com o polo localizado em – 10. Sendo assim, pode-se afirmar que este é um sistema estável em malha aberta, já que seu polo está situado no semi-plano esquerdo do plano complexo.

Repare na figura 3, que o com a utilização de um controlador proporcional, o polo do sistema partia de 10 e era deslocado para a esquerda até entrar no semi-plano esquerdo, estabilizando o sistema. Neste caso, através do uso do mesmo controlador, o polo já parte de -10 (semi-plano esquerdo) e, da mesma forma, é deslocado para a esquerda, conforme o ganho proporcional aumenta. Logo, nesta situação, este é um sistema estável para todos os valores de Kp (considerando apenas valores positivos). A função de transferência de malha fechada do sistema nessas condições é dada por:

A figura 6 ilustra o caminho de movimentação dos polos para o sistema em malha fechada.
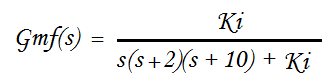
Realizando o mesmo procedimento anterior, isto é, incorporando o polo do controlador integral na função de transferência e fechando a malha de controle, tem-se a seguinte função de transferência de malha fechada:

Note na figura 7, que esta situação é semelhante à ilustrada na figura 5, porém, o caminho inteiro que pode ser percorrido pelos polos está localizado no semi-plano esquerdo do plano complexo, já que as extremidades do intervalo que pode ser percorrido sobre o eixo real são -10 (polo já existente) e 0 (polo na origem, proveniente do controlador). Portanto, pode-se dizer que o sistema é estável para todos os valores de Ki que fazem com que o mesmo seja sobreamortecido ou criticamente amortecido. No entanto, quando os polos passam a ser complexos, o incremento excessivo de Ki, pode conduzir o sistema a situações de instabilidade, já que o caráter oscilatório tende a aumentar conforme os polos vão se distanciando do eixo real.
E quanto a um sistema de segunda ordem? Como um controlador integral pode afetá-lo?
Assim como foi feito anteriormente, neste momento, será realizada a análise do comportamento de sistemas de segunda ordem, quando sujeitos à ação do controlador integral. Inicialmente utiliza-se um sistema cuja função de transferência possui um polo no semi-plano direito do plano complexo, portanto, trata-se de um sistema instável em malha aberta.
No segundo artigo da série, mostrou-se que através da utilização de um controlador proporcional, foi possível deslocar o polo localizado em 2, ou seja, no semiplano direito do plano complexo, para o semiplano esquerdo, estabilizando o sistema. A função de transferência do sistema em malha fechada para esta situação é a seguinte:
Observe na figura 8, que para valores do ganho proporcional maiores do que 20, o sistema passa a ser estável, enquanto que para valores maiores do que 36, este passa a adquirir características oscilatórias em virtude dos polos complexos conjugados presentes na equação característica do sistema, isto é, presentes no denominador da função de transferência.
O controlador integral consegue estabilizar este sistema?
Nos exemplos anteriores, foi demonstrado para o leitor que o controlador integral aumentou a ordem dos sistemas de primeira ordem, tornando-os então, sistemas de segunda ordem. Perceba que neste caso não será diferente, pois os sistemas de segunda ordem terão o polo do controlador incorporado às suas funções de transferência e deverão ser tratados como sistemas de terceira ordem.
A função de transferência do sistema em malha fechada, com o controlador integral é dada por:

A figura 10 ilustra perfeitamente o caminho percorrido pelos polos do sistema conforme o ganho existente no ramo direto (ganho integral, Ki) é incrementado. Note que esta representação é bem diferente da dos sistemas já apresentados.
Mas como deve-se entender o movimento dos polos a partir desta figura?
Primeiramente, observe que, assim como nos outros sistemas, os polos representados pela cor preta, são os polos do sistema (do sistema com o polo na origem proveniente do controlador) em malha aberta, de modo que um dos polos está localizado em -10. Portanto, no semi-plano esquerdo do plano complexo e os outros dois em 0 e em 2, ou seja, um deles está na origem e o outro no semi-plano direito do plano complexo.
Conforme o ganho Ki aumenta, pode-se ver que o polo localizado em -10 vai sendo deslocado para a esquerda, de maneira semelhante ao que acontecia com os sistemas de primeira ordem apresentados em malha fechada com o controlador proporcional. Entretanto, os outros dois polos estão ligados por um caminho sobre o eixo real (assim como acontece com os sistemas de segunda ordem apresentados), onde, de acordo com o incremento de Ki, estes vão se aproximando, até o momento em que se tornam polos complexos conjugados.
Note na figura 10, que a trajetória dos polos complexos conjugados não é vertical, assim como aconteceu nos exemplos anteriores, mas, o importante neste momento é perceber que estes dois polos nunca serão deslocados para dentro do semi-plano esquerdo do plano complexo, portanto, este sistema não pode ser estabilizado por um controlador integral.
O que pode-se dizer de um sistema de segunda ordem sem zeros, porém estável?
Neste momento, utiliza-se um sistema semelhante ao anterior, no entanto, com os dois polos no semi-plano esquerdo do plano complexo, dado pela seguinte função de transferência:

Diferentemente do caso anterior, neste momento, o sistema utilizado não possui polos no semi-plano direito do plano complexo, sendo portanto, um sistema estável em malha aberta. Mas lembre-se de que caso este sistema esteja em malha fechada, juntamente com um controlador proporcional, é possível deslocar seus polos, fazendo o mesmo responder de diferentes maneiras. A função de transferência do sistema em malha fechada nesta situação é dada por:

A figura 11 ilustra o comportamento dos polos deste sistema. Note que este sistema está inteiramente no semi-plano esquerdo do plano complexo para qualquer valor de Kp, portanto, é um sistema estável, mas que com o aumento excessivo de Kp pode apresentar grandes oscilações, em virtude da existência dos polos complexos.
No caso do controlador integral, como fica o sistema?
Imagine agora que o sistema em questão foi colocado em malha fechada, porém com um controlador integral. A função de transferência:

A figura 12 ilustra o comportamento dos polos deste sistema. O leitor pode perceber que o arranjo do caminho que os polos podem percorrer é semelhante ao mostrado pela figura 10. No entanto, deslocado para a esquerda, já que o polo passou a estar localizado em -2 (no exemplo anterior, o polo estava localizado em 2).
Novamente, recorrendo à figura 10, lembre-se que, o sistema é instável para qualquer valor de ki, em virtude do fato de que dois dos seus polos sempre permanecerem no semi-plano direito do plano complexo, porém, no caso que está sendo estudado neste momento, ocorre algo diferente. Observe na figura 12 que para valores de ki menores que 240, os polos do sistema permanecem no semi-plano esquerdo do plano complexo, portanto, nestas condições o sistema em questão é estável, obviamente com um caráter oscilatório devido aos polos complexos, mas ainda sim possui estabilidade.
Esperamos que você tenha gostado deste conteúdo, sinta-se à vontade para nos dar sugestões, críticas ou elogios. Na próxima parte, realizaremos um estudo sobre a velocidade das respostas dos sistemas utilizando um controlador integral. Deixe seu comentário abaixo!










