Introdução
Existem duas teorias que norteiam todos os campos da engenharia elétrica: as teorias de circuitos elétricos e de eletromagnetismo. Em especial, a teoria dos circuitos elétricos é a base para as áreas de controle; eletrônica; comunicações; instrumentação; dentre outras. Para entender a teoria de circuitos é preciso começar pelo elemento mais básico, porém fundamental: a carga elétrica.
A carga elétrica é uma propriedade das partículas atômicas que formam a matéria.
O efeito da carga elétrica é percebido quando o ar está seco e sentimos fagulhas (algo parecido com um choque) ao esfregar os pés em um tapete, ao aproximar a mão de uma maçaneta ou mesmo de uma pessoa. Isso mostra que há cargas elétricas nos tapetes, nas maçanetas e no corpo humano. Nesse artigo vamos explicar o que é esse efeito, quais os tipos e como calcular a carga elétrica de um corpo.
Estrutura do átomo
Toda matéria é formada por elementos conhecidos como átomos que são compostos por elétrons (cargas negativas), prótons (cargas positivas) e nêutrons (não possuem carga elétrica). Normalmente, o número de cargas positivas e negativas é o mesmo, ou seja, a carga total é zero. Quando isso ocorre, dizemos que essas cargas estão equilibradas ou eletricamente neutras.
Porém, quando há quantidades diferentes dos dois tipos de cargas (positivas e negativas) dizemos que a matéria está eletricamente carregada. Podendo ser eletricamente carregada positivamente, quando há mais prótons do que elétrons ou negativamente, quando há mais elétrons do que prótons.
Os objetos eletricamente carregados exercem uma força sobre outros objetos e é por isso que sentimos o efeito da carga elétrica quando o ar está seco. Isso acontece, pois a umidade do ar auxilia a retirar as cargas em excesso do nosso corpo, na falta dela acumulamos cargas, que por sua vez são liberadas ao tocar em outro objeto.
Como calcular a carga elétrica
A carga elétrica é quantizada, para saber seu valor é preciso multiplicar o número de elétrons, em falta ou em excesso, pela carga elétrica fundamental: “e”. Observações experimentais mostram que a menor carga elétrica encontrada na natureza tem módulo:
Os prótons e os elétrons possuem o mesmo valor de carga fundamental, mas por convenção o valor do elétron é negativo e o do próton é positivo. E é por essa razão que um corpo com a mesma quantidade de prótons e elétrons é considerado eletricamente neutro, pois o valor das suas cargas se anulam.
A unidade da carga elétrica fundamental é C (Coulomb), logo a carga elétrica total de um corpo terá a mesma unidade sendo dada pela seguinte fórmula:
Onde:
- Q – carga elétrica total de um corpo;
- n – número de elétrons em excesso ou falta;
- e – carga elementar (1,602.10-19 C).
É preciso ressaltar que para um corpo ter 1C de carga é necessária uma enorme quantidade elétrons, pois:
Então, geralmente, os valores reais ou de laboratório para cargas de um objeto se encontram na casa dos pC (10-12 C), nC (10-9 C) ou µC (10-6 C).
Eletrostática
Há um campo da ciência dedicado a estudar as cargas elétricas em repouso, chamado eletrostática. Essa área é importante para entender como corpos eletricamente carregados interagem entre si.
Assim, dois objetos eletricamente carregados exercem forças entre si. Caso as cargas das duas partículas tenham o mesmo sinal, elas se repelem, ou seja, se afastam. Mas se as partículas têm sinais opostos, elas se atraem, ou seja, a força tende a aproximá-las.
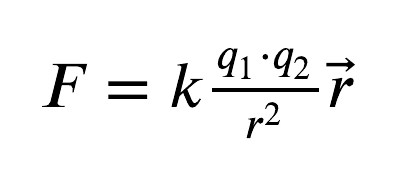
A força eletrostática é a força relacionada aos efeitos de atração e repulsão das cargas elétricas dos corpos. E a lei que possibilita calcular a força que os objetos carregados exercem é denominada lei de Coulomb.
O cálculo da força eletrostática entre dois corpos é feito considerando o efeito que uma exerce na outra. Então, dado dois corpos com cargas q1 e q2, a força em que está submetido o corpo 1 é dada por:
Onde:
- F – força eletrostática (N)
- k – constante eletrostática (8,99.109 N·m2/C2)
- ȓ – vetor unitário na direção da reta que liga os dois objetos
- r – distância entre as partículas (m)q1, q2 – cargas das partículas (C)
É preciso lembrar que, como todo vetor unitário ȓ tem módulo 1 e é adimensional, além disso, seu papel é indicar uma orientação no espaço. Logo, se as partículas possuem cargas de mesmo sinal a força em que a partícula 1 é submetida tem o mesmo sentido de ȓ e caso as partículas possuírem cargas de sinais opostos, a força tem sentido oposto ao de ȓ.
Na Figura 4 temos como exemplo duas partículas de mesmo sinal e observamos a força em que a partícula 1 está submetida. Note que o ȓ possui mesma direção que a força.
O segundo princípio da eletrostática afirma que em um sistema eletricamente isolado, ou seja, sem trocas de cargas do sistema com o exterior, a soma das cargas positivas e negativas é sempre constante. Isso implica que, as cargas nunca são criadas ou destruídas, o que ocorre é o contato entre dois objetos e a troca de cargas entre eles, tornando um carregado positivamente e o outro carregado negativamente.
Conclusão
Neste artigo foi apresentado o conceito de carga elétrica, os tipos e como calcular as cargas elétricas. Buscamos entender como cargas de mesmo sinal e sinais opostos interagem entre si e o que pode ocorrer em um corpo com cargas em excesso. Além disso, aprendemos a calcular a força que uma partícula exerce sobre a outra e se essa força é de atração ou repulsão.
Referências
ALEXANDER, Charles K.. Fundamentos de circuitos elétricos. Porto Alegre: Amgh, 2013. HALLIDAY. Fundamentos de Física: eletromagnetismo. 9. ed. Ltc, 2012.










Sthefania, gostei muito do artigo! É muito bom rever e aprender.
Obrigada, Arnaldo Laganaro Junior!