O comportamento e as interações entre cargas, de sinais iguais ou opostos, são explicadas através da eletrostática, que dentre outras coisas, descreve a forma que uma carga pode influenciar no sistema em que está inserida. Assim, cargas de sinais iguais se repelem e cargas de sinais contrários se atraem. Isso acontece porque toda carga possui um campo elétrico associado a ela e é ele quem define o controle que a carga exerce no meio.
O campo elétrico é uma região em que todos os pontos do espaço estão sob influência de uma carga elétrica de intensidade Q.
Neste artigo, além de entender o que é o campo elétrico, vamos aprender como calcular, como definir sua direção e sentido e o que é a força elétrica.
O que é e Como Calcular um Campo Elétrico
Matematicamente, o campo elétrico é definido através de uma carga de prova, que é uma carga de intensidade q0 sujeita a uma força de interação (atração ou repulsão) exercida pelo campo de Q. É importante frisar que o campo elétrico existe independente da carga de prova e que ela não afeta o campo elétrico que estamos medindo, seu uso é apenas para detectá-lo e calculá-lo. A equação que define o campo elétrico é:
onde:
E – vetor do campo elétrico (N/C)
F – força elétrica que atua sobre a carga q0 (N)
q0 – carga de prova (C)
A unidade do SI (Sistema Internacional de Unidades) para o campo elétrico é o N/C (Newton por Coulomb), ou seja:
O campo elétrico representa o valor da força elétrica que opera em uma unidade de carga, isso é válido para as cargas inseridas em sua região de atuação.
Orientação e Sentido do Campo Elétrico
O campo elétrico é um campo vetorial, por se tratar de uma distribuição de vetores, então seu formato é como o mostrado na Figura 1.
O campo elétrico é formado por linhas de campos, note que, quando o campo elétrico é formado por uma carga positiva, a direção que as linhas de campo apontam é para fora. E quando o campo elétrico é formado por uma carga negativa, a direção que as linhas de campo apontam é para dentro.
Agora vamos supor que uma carga de prova positiva é introduzida em ambos os campos elétricos mostrados na Figura 1. No campo elétrico 1, o vetor de campo elétrico E aponta para fora (como as linhas de campo) e o vetor de força elétrica F também, devido a força de repulsão que ocorre entre as cargas.
Já no campo elétrico 2, o vetor de campo elétrico aponta para dentro (conforme as linhas de campo) e o vetor de força elétrica também, devido a força de atração que ocorre entre as cargas.
Se uma carga de prova negativa é introduzida em ambos os campos elétricos, o comportamento é outro. O vetor de campo elétrico E continuará a atuar da mesma forma em ambos, já a força elétrica F no campo 1 irá apontar para dentro e no campo 2 irá apontar para fora. Em ambos os casos isso ocorre devido a atração e repulsão, respectivamente, das cargas.
Dessa forma, podemos generalizar que:
- Sobre a carga Q, que produz o campo elétrico:
- Se for positiva, o vetor de campo elétrico E aponta para fora, se afastando dela;
- Se for negativa, o vetor de campo elétrico E aponta para dentro, se aproximando dela;
- O sentido do vetor de campo elétrico E não é afetado pelas cargas de prova.
- Sobre a carga de prova q0:
- Se possui sinal negativo, os vetores de forças F e de campo elétrico E tem mesma direção e sentidos opostos;
- Se possui sinal positivo, os vetores de força F e de campo elétrico E possuem mesma direção e sentido.
Força Elétrica
A física de Newton definiu que na natureza há dois tipos de força: as forças de contato e as forças de campo. A força de contato é aquela em que há a necessidade de que os corpos estejam em contato físico para que neles atue uma força. Enquanto que, a força de campo é a força que um corpo exerce no outro à uma distância, muitas vezes conhecida, sem que ocorra contato físico entre eles. A força gravitacional e a força elétrica são exemplos de força de contato.
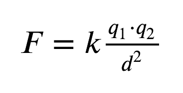
A força elétrica é a força que uma carga elétrica exerce sobre outra, podendo ser repulsiva para cargas de sinal igual e atrativa para cargas de sinais contrários. Coulomb foi capaz de desenvolver uma expressão matemática que determina o módulo dessa força com precisão. E definiu a Lei de Coulomb como:
A força de ação mútua entre dois corpos (atração ou repulsão) carregados tem a direção da linha que une os corpos e sua intensidade é diretamente proporcional ao produto das cargas e inversamente proporcional ao quadrado da distância que as separa.
Logo, a expressão matemática para Lei de Coulomb é feita para calcular a intensidade da força de atração ou repulsão entre duas partículas considerando o efeito que uma exerce na outra. Então, dado dois corpos com cargas q1 e q2, a força em que está submetido o corpo 1 é dada por:
F – força elétrica (N)
k – constante eletrostática (8,99·109 N·m2/C2)
d – distância entre as partículas (m)
q1, q2 – cargas das partículas (C)
A força elétrica também pode ser calculada através do campo elétrico, então:
F – força elétrica que atua sobre a carga q0 (N)
E – módulo do campo elétrico (N/C)
q0 – carga de prova (C)
A unidade do SI (Sistema Internacional de Unidades) para a força elétrica é N (Newton).
Os Opostos Se Atraem? (Ímã – Campo Do Planeta Terra)
Força Elétrica vs Força Gravitacional
Muitas semelhanças são encontradas entre o conceito e as equações que regem a força elétrica e a força gravitacional. A Lei da Gravitação Universal de Newton, define que a força gravitacional é:
Diretamente proporcional às massas dos corpos e inversamente proporcional à distância que os separa.
Note que a definição matemática é similar à da força elétrica:
F – força gravitacional (N)
G – constante gravitacional (6,67· 10-11 N·m2/kg2)
d – distância entre os corpos (m)
m, M – massa dos corpos (kg)
Apesar de tantas similaridades há duas grandes diferenças entre as duas forças campo:
- A força elétrica é uma força atrativa e repulsiva, enquanto que a força gravitacional é somente uma força de atração
- Isso acontece porque há dois tipos de cargas (positivas e negativas), enquanto só há um tipo de massa.
- A força elétrica é muito mais intensa do que a força gravitacional.
Outra importante diferença entre as leis de Newton e a de Coulomb é que a lei de Coulomb não possui nenhuma exceção, ou seja, é válida para todas as situações, inclusive no interior dos átomos. Enquanto a mecânica de Newton deixa de ser válida nesse caso e precisa ser substituída pela mecânica quântica.
Referências
HALLIDAY. Fundamentos de Física: eletromagnetismo. 9. ed. Ltc, 2012.
FELDMAN, Boris. Choque ao sair do carro: como evitar. Disponível em: https://autopapo.uol.com.br/blog-do-boris/choque-ao-sair-do-carro-como-evitar/. Acesso em: 27 abr. 2022.










No tópico sobre força elétrica, está escrito ” A força gravitacional e a força elétrica são exemplos de força de contato.” o que está incorreto. Apenas uma confusão, ótimo texto.