Ao entrar em uma loja de eletroeletrônicos você já notou quantos aparelhos de som com potências astronômicas existem à venda?
Valores que vão de 1.000 a até absurdos 10.000 watts são comuns!
Mas será que ao ligar este aparelho você conseguirá fazer com que seu bairro inteiro ouça sua coleção predileta de CDs (alguém ainda tem uma coleção de CDs nos dias de hoje)?
E o que são aquelas siglas que estão nos adesivos colados na frente do aparelho (PMPO)?
Vamos tentar esclarecer algumas destas dúvidas neste artigo!
Potência elétrica
Muitas pessoas, ao pesquisar para comprar um novo equipamento de áudio, fazem a comparação entre os modelos disponíveis no mercado apenas pela potência nominal existente no ponto de venda.
Sabendo disto, as empresas fabricantes de equipamentos usam como estratégia de marketing métodos diferentes para chegar ao valor da potência de cada equipamento, variando, e muito, de fabricante para fabricante.
É possível mostrar que existem grandes diferenças entre a potência eficaz, a potência de pico e a potência PMPO.
Primeiramente é necessário saber o que é potência elétrica. Para isso vamos partir do princípio. A Lei de Ohm prova a seguinte relação entre tensão, corrente e resistência elétrica:

Já a potência elétrica pode ser calculada através da Lei de Joule:

Para um sinal em corrente contínua (aquele que sai, por exemplo, de uma bateria de automóvel), não haverá dúvidas sobre o valor de potência (calor, som, luz, ou qualquer outro efeito desejado) dissipado ao longo do tempo, pois como o valor de tensão é constante, para uma carga que não varia de resistência, a corrente será constante também. Por conseqüência o produto da tensão e corrente também será constante, como pode ser visto na figura 1.
Mas e se o sinal não é contínuo, como é o caso do áudio em um amplificador?
Haverá variação na tensão ao longo do tempo.
Se a carga é constante (pensando que é um elemento fixo, como é o caso de um alto-falante), a corrente elétrica é que sofrerá variações proporcionais às variações de tensão nela aplicada.
É claro que o método de construção de um alto-falante, cuja bobina é um indutor, poderá ter valores de impedância diferentes para frequências de áudio diferentes, reagindo de modo distinto para sons graves e para sons agudos.
Mas, para simplificar um pouco a explicação deste artigo, vamos considerar como sendo uma carga constante para uma determinada gama de sons, sem grandes variações de impedância.
A potência elétrica, então, será variável ao longo do tempo.
Para entender melhor este conceito observe a figura 2, que mostra este comportamento com um sinal puramente senoidal.
Se pensarmos em potência como sendo a dissipação do calor em uma carga, é possível perceber pelo gráfico da figura 2 que haverá momentos em que o calor dissipado será máximo e em outros não haverá aquecimento.
Isto teoricamente, pois a velocidade de aquecimento e resfriamento de uma carga é muito menor do que a variação senoidal que acontece em sinais complexos, como é o caso do áudio.
Por conta desta inercia na velocidade de aquecimento ou resfriamento de uma carga, se medirmos a temperatura em cima desta carga, sentiríamos apenas um valor médio de aquecimento e não o pico ou o resfriamento.
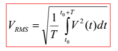
Esta potência média dissipada, também conhecida como potência eficaz ou PRMS (Root Mean Square), tem uma característica interessante: se a fonte de corrente alternada fosse retirada e em seu lugar fosse colocada uma fonte de corrente contínua com mesmo valor eficaz, a potência dissipada seria a mesma!
A sigla RMS tem origem no método utilizado para calcular a tensão eficaz de um sinal, que é obtido através de uma raiz quadrada da média, mostrado abaixo:

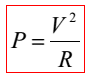
Da expressão original da Lei de Ohm, em conjunto com a Lei de Joule, é possível mostrar que a potência elétrica pode ser expressa como uma função da tensão e da resistência da carga, o que é visto na seguinte equação:

A potência eficaz (PRMS) de um sinal senoidal será dada então por:
A potência obtida através deste cálculo é a que realmente realiza trabalho.
Pensando em um equipamento de som, esta potência é a que realmente fornece volume sonoro quando ligamos o amplificador do aparelho de áudio.
Outro ponto verificado é que apesar de sinal de áudio de verdade não se parecer em nada com a senoide apresentada na figura 2, o conceito de potência é exatamente o mesmo.
Apenas o cálculo da integral deverá ser diferente, uma vez que o sinal de áudio tem formato bem diferente de uma simples senoide.
E é claro que este cálculo é mais complexo, pois determinar o cálculo da área de um sinal como o de áudio é bem mais difícil. Mas repito: o conceito é o mesmo.
Outro aspecto desta potência eficaz é que o amplificador deve ser capaz de mantê-la durante todo seu tempo de uso, ou seja, ser projetado para ficar horas emitindo sons com esta potência sem se danificar.
A qualidade de um amplificador
Mas nem só de potência vive um amplificador ou aparelho de áudio.
De nada adianta emitir alguns milhares watts de potência se a qualidade do som é péssima.
Outro parâmetro importante a ser analisado é a THD (Total Harmonic Distortion). Este parâmetro, amplamente aceito e utilizado pelo mercado, representa em partes a quantidade de distorção que será emitida na saída do amplificador.
Valores menores que 0,1 % praticamente não são percebidos pelo ouvido humano e são fáceis de encontrar em equipamentos de alta fidelidade (Hi-Fi).
Já valores entre de 1 % e 5% começam a causar incômodos aos ouvidos mais apurados.
Valores acima de 10% são uma aberração em termos de qualidade!
Assim, para fazer a comparação entre dois equipamentos os parâmetros básicos a serem levados em consideração são a potência eficaz (PRMS) e a distorção THD.
Estes valores quase sempre estão presentes no manual de instruções dos aparelhos de som, mas nem sempre naquelas etiquetas coladas na parte da frente dos equipamentos, com cores berrantes e valores elevados.
Por quê? Veja as duas etiquetas na figura 3 e pense qual delas chamam mais a sua atenção:
A reação que você teve foi influenciada pela propaganda realizada pelas empresas fabricantes de áudio. E acredite, estamos falando de aparelhos equivalentes em termos de potência sonora!
Vamos tentar entender como é que um aparelho que fornece 90 WRMS pode ser vendido como 2700 WPMPO.
Potência de pico, de pico-a-pico e PMPO
As medidas de sinal em uma senoide podem ser feitas de acordo com a referência que se quer dimensionar. Se o objetivo é saber o valor eficaz desta senoide, o cálculo é feito do modo já mostrado anteriormente, obtendo um resultado eficaz (VRMS).
Mas se a referência é o valor máximo obtido, então se deve medir o valor de pico (VPICO) em relação ao zero. Para saber qual o valor de variação entre um pico positivo e um negativo, é medido o valor de pico-a-pico (VPICO-A-PICO). A figura 4 ajuda a entender estas medidas.
Perceba que o valor de pico é obtido apenas durante um breve intervalo de tempo. O valor de pico-a-pico representa apenas a variação entre os ciclos positivo e negativo.
Dizer que a potência de um aparelho é referente ao valor de pico significa que este é o máximo valor que será produzido na saída por um curtíssimo intervalo de tempo. Este aparelho não poderá produzir este valor de potência durante todo o tempo, apenas durante um pequeno intervalo.
Dizer que a potência de um aparelho é referente ao valor de pico-a-pico nem faz sentido matemático, já que não é possível obter uma tensão com valor igual a pico-a-pico em nenhum momento da senoide.
Apesar disso, alguns valores interessantes aparecem quando fazemos os cálculos com valores de pico e de pico-a-pico. Veja estes exemplos.
Imagine um amplificador que tenha em sua saída um valor de tensão eficaz de 30 VRMS. Aplicar esta saída em uma carga de 10 W resultará na seguinte potência eficaz.

Porém, se o cálculo for refeito com o valor de pico desta tensão (≈45 VPICO), será obtido mais do que o dobro do valor da potência eficaz.

Com o valor de pico-a-pico da tensão (≈90 VPICO-A-PICO) então, este valor chega a quase 10 vezes mais do que a potência eficaz!

Mas os valores geralmente utilizados nas etiquetas promocionais não são de potência de pico ou de pico-a-pico.
É PMPO. Em algumas literaturas PMPO é definido como Peak Music Power Output. Já em outras cita-se Peak Momentary Performance Output. E o que isso significa?
Marketing, apenas marketing!
Não há, por exemplo, consenso entre os fabricantes sobre qual é o método correto para se chegar ao valor PMPO de um equipamento. Uma constante K é aplicada ao valor RMS do equipamento. Valores de K entre 20 e 70 são perfeitamente aceitáveis!

Se o valor utilizado para K for 30, por exemplo, o produto que citamos com potência de 90 WRMS chega aos 2700 WPMPO como pode ser visto abaixo.
Em alguns sites na internet e em algumas literaturas de fabricantes o leitor poderá encontrar fórmulas mirabolantes para o cálculo da potência PMPO, algumas considerando o pico máximo de potência musical instantânea, outras considerando o valor de pico-a-pico de tensão fornecida na saída do amplificador vezes a corrente de curto circuito, etc., etc., etc…
Todas são considerações absurdas, que levariam o aparelho a destruição, se fossem utilizadas por mais de alguns microssegundos.
Infelizmente, para os leigos, dizer que aquela robusta caixa de som do micro system produz “míseros” 50 WRMS não ajuda a vender o equipamento, já que um aparelho do concorrente, na prateleira ao lado, com aspecto parecido, vem com uma etiqueta que aponta os 1500 WPMPO, o que é muito atrativo.
Para sanar todas as dúvidas, nada melhor do que uma consulta ao manual do fabricante, onde marcas honestas colocam as informações de potência real e distorção harmônica. São com esses valores que devem ser feitas as comparações.
Caso o equipamento não forneça essas informações fuja dele! Não há preocupação com a qualidade deste equipamento!
Conclusão
A potência PMPO não indica a qualidade de um equipamento nem muito menos qual é a real capacidade sonora dele. Não existe um método homologado para calcular este tipo de potência, o que faz com que cada fabricante “invente” a sua maneira de cálculo, o que impede a comparação entre produtos concorrentes.
É interessante ressaltar que dificilmente isso é encontrado em equipamentos de alta qualidade (Hi-Fi), sempre especificados em termos da potência real (RMS) e com informações precisas da THD. Geralmente o público consumidor deste tipo de produto é bem informado e não aceita ser enganado pelos milagrosos watts PMPO.
Já os equipamentos mais baratos usam e abusam destes métodos. Não é raro, inclusive, encontrar à venda equipamentos baratos com muito mais potência do que caríssimos sistemas de home theater. Leitor, desconfie!









A especificacao de potencia de aparelhos sonoros em PMPO é proibida no Brasil há 10 anos por portaria do Inmetro. Portanto, se vir algum produto anunciado com PMPO, fuja, pois nem mesmo a lei o fabricante cumpre.
Paulo, boa tarde!
Muito bem lembrado!
Uma cópia da portaria do INMETRO está neste link:
https://www.inmetro.gov.br/legislacao/rtac/pdf/RTAC001009.pdf
Tem um link que explica os testes que foram feitos em diversas marcas de aparelho de áudio, onde se chegou a conclusão do absurdo que é utilizar o tal do PMPO como medida de potência. É este aqui:
https://www.inmetro.gov.br/consumidor/produtos/potSonora.asp
Valeu pela excelente observação, Paulo!
Forte abraço!
Cara muito bom!!! – Nunca entendi essa porcaria de PMPO, mas como não sou da área tambem nunca fui buscar o que era…. Enfim, outro bom artigo Alessandro. Parabéns…
Que bom que gostou, Ciro!
Tomara que eu tenha conseguido ajudar você e outros leitores a entender essa magia que faz com que pequenos aparelhos de som produzam mais de 1000 W de potencia PMPO.
Abraços.
Pois é , ainda tem gente que cai no papo do PMPO kkk..fora que, como bem dito que define um bom amplificador de audio nem é só a potencia RMS, e sim a pequena distorção harmonica e resposta de frequencia plana na faixa audivel. Um bom amplificador com 30 rms ( 15 por canal) e boas caixas é possivel ter um otimo audio estereo na maioria dos ambientes domesticos.
Sim, Ricardo Pralon, exatamente isto!
Tem muitos outros parâmetros a serem analisados em um bom amplificador de áudio além da potencia.
Mas as faixas chamativas com trocentos watts PMPO de potência chamam muito a atenção do público leigo, e ajudam a vender, o que é interessante para a equipe de Marketing.
Muito bom o artigo! Sempre tive uma dúvidas com relação a esse assunto: Como um equipamento de som pode dizer ter 3300Wrms e um consumo elétrico de 340W? (exemplo real do modelo SC-MAX800LB da Panasonic). Sei que são utilizados amplificadores digitais que possuem elevada eficiência, mas, é isso mesmo? Informações que estão no manual: High 400 W por canal (3 ohms), 1 kHz, 10% THD Mid 400 W por canal (3 ohms), 1 kHz, 10% THD Low 850 W por canal (5 ohms), 100 Hz, 10% THD Potência total do modo estéreo RMS 3300 W Onde temos três sistemas de… Leia mais »
Ivan, bom dia! Que bom que tenha gostado do artigo! Você está corretíssimo, onde se lê “uma carga de 10 W”, é claro que se deve ler “uma carga de 10 Ohms”. Tanto é que abaixo, nas equações que utilizam este valor, o correto está mostrado, como sendo em Ohms. Quanto a questão das potências de entrada e saída, temos que sempre lembrar do Lavoisier, em que nada neste mundo se cria ou se perde, tudo se transforma. Se a potencia consumida na fonte de entrada do aparelho é de 340 W, a potencia de saída que será jogada no… Leia mais »
Pois é, e o pior é que eles chamar de potência RMS, que outrora seria a potência real, hoje nem isso mais podemos acreditar…
Pra minha felicidade, eu não tenho um desses! rsrs
Olha só os resultados de uns testes feitos pelo INMETRO…
É de chorar, né não?
Abraços.