Qual é o objetivo deste artigo?
Este artigo visa dar prosseguimento ao material referente ao uso de controladores (ou compensadores) em sistemas de controle. Nesta publicação será introduzido um novo tipo de controlador, bastante utilizado em sistemas reais, chamado controlador proporcional-integral, ou simplesmente, controlador PI. Como o leitor poderá constatar ao longo deste material, o controlador PI apresenta uma dinâmica de funcionamento mais complexa do que os controladores já apresentados, portanto, é de extrema importância tanto para nós do embarcados quanto para o leitor, que este conteúdo seja passado de forma bastante clara e didática.
Princípio de ação do controlador PI
Como foi demonstrado nos artigos anteriores os controladores proporcional e integral. Apresentam, em suas ações de controle, diferentes proporcionalidades em relação ao sinal, de modo que, no primeiro, o sinal que sai do controlador e vai para o sistema é proporcional ao erro, de maneira instantânea. Enquanto que no segundo este mesmo sinal é proporcional à integral do erro.
É importante ressaltar que ambos os controladores já analisados nesta série, possuem vantagens e desvantagens. Como por exemplo, o fato de o controlador proporcional poder fazer com que o sistema atinja o regime permanente de maneira mais rápida, porém, sem eliminar o erro estacionário para uma entrada em degrau, em contrapartida, o controlador integral pode proporcionar a eliminação deste erro, pagando o preço de não produzir uma ação de controle tão rápida quanto a anterior.
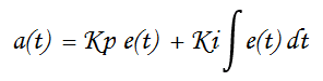
Neste momento, apresenta-se para o leitor, o controlador proporcional-integral, ou controlador PI. Como o nome sugere, o controlador em questão, tem duas componentes em sua ação de controle, uma proporcional ao erro e outra proporcional à integral do erro.
Pode-se dizer então que a ação de controle do controlador PI é dada da seguinte maneira:

Efeitos da ação do controlador PI
Neste momento, serão apresentados os efeitos do uso de um controlador PI. Isto será feito de uma maneira bem simples, para que o leitor possa ter uma melhor compreensão da influência do mesmo nos sistemas de controle. A figura 2, mostra o sistema apresentado na figura 1, porém, expresso no domínio da frequência através do uso da Transformada de Laplace.
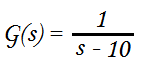
Inicialmente considere o sistema de primeira ordem (sem zeros), cuja função de transferência do mesmo em malha aberta G(s) é dada por:
Caso o leitor tenha lido os artigos anteriores, o mesmo poderá afirmar que este sistema é instável em malha aberta, em virtude da existência do seu polo estar localizado no semi-plano direito do plano complexo, o que, por sua vez, produz uma componente exponencial cujo módulo é crescente ao longo do tempo.
Além disso, foi demonstrado no primeiro artigo da série, que este sistema poderia torna-se estável com o uso de um controlador proporcional, através do deslocamento do seu polo para o semi-plano esquerdo do plano complexo. Entretanto, no quinto artigo, foi possível perceber que um controlador integral era incapaz de tornar este sistema estável.
Será que um controlador PI poderia estabilizar este sistema?
Para responder a esta pergunta, deve-se analisar o sistema em malha fechada com o controlador PI. Observe que o controlador em questão é representado por uma função de transferência composta por um ganho Kp, por um zero dinâmico, isto é, que muda de posição conforme os valores de Kp e Ki vão sendo alterados e por um polo localizado na origem do plano complexo.

Imagine que agora que a função G(s) da figura 2 seja, na verdade, o sistema de primeira ordem citado anteriormente. Sendo assim, este pode ser entendido como:

Observe que, para as análises realizadas com o controlador proporcional, o ramo direto das malhas eram compostos por um ganho, no caso, o ganho proporcional e pela função de transferência de malha aberta do sistema. Sendo assim, para realizar os mesmos tipos de estudo, deve-se deixar o sistema dotado de um controlador PI na mesma forma, isto é, incorporando o polo (aumentando a ordem e o tipo do sistema) e o zero inseridos pelo controlador na função de transferência de malha aberta do sistema e consequentemente deixando o ganho Kp sozinho, conforme demonstrado na figura 3.
A função de transferência do sistema em malha fechada é dada por:

Antes de demonstrar se este sistema é estável ou não em malha fachada, deve-se relembrar o porque do sistema original não poder ser estabilizado através de um controlador integral. Na figura 4 pode-se constatar que o sistema permaneceu instável para qualquer valor positivo de Ki, devido ao fato de que não existia um caminho percorrido pelas raízes que poderia deslocá-las para o semi-plano esquerdo do plano complexo.
Observe na figura 5, que o zero inserido no sistema pelo controlador PI, proporciona um caminho para que os polos do sistema (polo já existente e o polo colocado na origem pelo controlador) possam ir para o semi-plano esquerdo do plano complexo (note que a partir de um determinado momento, um dos polos tende ao infinito, enquanto o outro tende a ficar cada vez mais próximo do zero), ao contrário do que acontecia anteriormente, com os polos tendendo ao infinito verticalmente. Portanto, pode-se afirmar que este sistema pode ser estabilizado pelo controlador PI.
Caso o leitor tenha acompanhado os nossos artigos anteriores, é possível perceber que a forma dos caminhos a serem percorridos pelas raízes depende dos polos e zeros existentes no sistema, por exemplo, nos sistemas de primeira ordem sem zeros, este caminho resume-se a uma linha reta, ao passo que, nos sistemas de segunda ordem sem zeros, este caminho possui um formato de cruz, onde os polos são reais e passam a ser complexos conforme o ganho em questão é aumentado.
Desta maneira, com a inserção do zero, não poderia ser diferente, ou seja, este faz com que o caminho a ser percorrido pelas raízes seja modificado. Entretanto, é necessário ressaltar que, embora a forma seja a mesma para uma certa configuração de polos e zeros, as dimensões da mesma variam de acordo com a posição dos elementos citados no plano complexo. Observe na figura 6 que, conforme o zero vai sendo deslocado para a esquerda, as curvas passam a ficar mais alongadas, porém nunca perdem a semelhança.
Mas qual é a influência dos ganhos proporcional e integral no comportamento do sistema?
Neste momento, o comportamento do sistema será analisado em diversas situações onde os ganhos Kp e Ki serão alterados de forma conveniente para a demonstração que será realizada a seguir (apenas como observação, os ganhos Kp e Ki utilizados serão sempre positivos).
Na primeira analise realizada, o ganho integral (Ki) foi mantido constante em 10, para que o comportamento do sistema pudesse ser estudado de acordo com as variações efetuadas no valor do ganho proporcional, Kp. Sendo assim, recomenda-se que o leitor dê uma boa olhada na equação característica do sistema, ou seja, no denominador da função de transferência de malha fechada.

As raízes desta equação, ou em outras palavras, os polos do sistema, são dadas por:

Algumas informações sobre o comportamento do sistema podem ser tiradas da equação mostrada anteriormente. Em um primeiro momento, o leitor pode notar que, caso o argumento da raiz quadrada, ou seja, o delta da equação seja positivo, existem duas raízes sobre o eixo real, porém, observe que conforme o ganho proporcional aumenta, tanto a parcela externa à raiz quadrada quanto o delta, diminuem em módulo (em virtude do Kp sempre ser subtraído de 10), portanto, nesta etapa, os polos vão se aproximando.
Note que, como o zero deste sistema é dinâmico e é dado por -Ki/Kp, com o aumento de Kp, esta vai se aproximando cada vez mais da origem. Quanto aos polos, pode-se notar que, para Kp = 3.675, os polos do sistema estão sobrepostos (para este valor do ganho proporcional, o delta da equação característica do sistema é igual a zero), porém, como estão no semi-plano direito do plano complexo, caracterizam um sistema instável.
Em seguida, caso o ganho proporcional aumente, ou seja, caso Kp seja maior do que 3.675, o delta da equação característica passa a ser negativo, portanto, os polos passam a ser complexos conjugados, no entanto, como mostrado na figura 5, a trajetória dos mesmos não é vertical. Ainda assim, estes polos continuam situados no semi-plano direito do plano complexo, tornando este sistema instável.
O leitor deve ter percebido que quando o ganho proporcional é igual a 10, os polos não possuem mais parte real, portanto, neste momento, os polos são imaginários puros. Como é de se esperar, para valores de Kp > 10, os polos continuam a ser complexos conjugados, no entanto, passam a estar situados no semi-plano esquerdo do plano complexo, logo, o sistema torna-se estável, oscilatório em virtude dos polos complexos, porém estável.
Note que para o aumento de Kp nesta situação, a parte imaginária dos polos vai sendo reduzida, portanto, pode-se afirmar que o coeficiente de amortecimento do sistema aumenta, dando o mesmo, um caráter menos oscilatório. Além disso observe que, este aumento do ganho proporcional, continua deslocando os polos para a esquerda (observe que a parte real dos mesmos aumenta em módulo), fazendo com que a resposta do sistema seja mais rápida. Observe estas características na figura à seguir.
Como pode-se perceber na figura 9, para o valor de Kp = 16.32, os polos passam a ficar sobrepostos no eixo real, ou seja, o sistema passa a ter as características de um sistema criticamente amortecido, em outras palavras, o sistema não será mais oscilatório e terá a resposta mais rápida de todos os sistemas que satisfazem este quesito.
Na figura a seguir, demonstra-se que para valores de Kp >16.32, os polos do sistema começam a ficar distantes sobre o eixo real, tornando o sistema mais lento (de fato, um dos polos é deslocado para a esquerda, contribuindo com uma constante de tempo mais rápida para o sistema, no entanto, para polos muito distantes, o efeito do polo mais lento torna-se mais influente na resposta do sistema).
Perceba que, neste momento, tem-se uma espécie de troca realizada através do aumento do ganho proporcional, ou seja, consegue-se diminuir o overshoot da resposta, no entanto, como dito anteriormente, o sistema torna-se mais lento.
É muito importante ressaltar que, as análises realizadas restringiram-se basicamente ao comportamento dos polos, no entanto, repare que, ao contrário dos exemplos envolvendo os controladores discutidos anteriormente, os polos não se movimentam sobre um único caminho, pois quando o ganho proporcional aumenta ou diminui, o zero do sistema é deslocado de posição, portanto, o caminho é modificado, conforme mostrado na figura 6. Em outras palavras, ao mesmo tempo em que os polos estão sendo deslocados para a esquerda ou para a direita em função da variação deste ganho, também estão trocando de curva, ou seja, não seguem percorrendo uma mesma curva. A figura à seguir ilustra, como exemplo, a o deslocamento dos polos, para Kp variando de 6 para 7 e Ki = 10.
E o ganho integral, como influência no comportamento do sistema?
Neste momento, é importante que o leitor recorra novamente à equação característica do sistema e observe que conforme o ganho integral, Ki, aumenta, o módulo do delta desta equação vai diminuindo, de modo que, enquanto este for positivo, contribuirá com a parcela real das raízes desta equação. Desta maneira, para um valor fixo de Kp, cada vez uma porção menor será adicionada e subtraída da parte real de uma determinada raiz, em outras palavras, um incremento de Ki faz com que os polos sejam aproximados,

Além disso, note que, ao contrário do estudo anterior, o zero do sistema é deslocado para a esquerda conforme Ki é incrementado. Entretanto, para o ganho proporcional fixo em Kp = 5, observa-se que para Ki variando conforme demonstrado pela figura abaixo, pode-se perceber que os polos continuam localizados no semi-plano direito do plano complexo, portanto, nesta situação, o sistema é instável.
Repare que, para ki = 6.25, os polos ficam sobrepostos no eixo real, isto significa que, caso ocorre mais algum incremento do ganho integral, os polos passarão a ser complexos conjugados. Entretanto, existe algo curioso acontecendo, note que na figura à seguir, os polos vão sendo deslocados apenas verticalmente, e estão mais distantes para valores crescentes de Ki.
Isto acontece, em virtude de a parte real das raízes da equação característica, ou seja, dos polos, é dada por -(Kp – 10)/2, portanto, a partir do momento em que os polos passam a ser complexos, o delta da equação só contribui para a parte imaginária dos polos, logo, a parte real nesta situação, é constante.
O leitor deve perceber neste momento, que o sistema nunca será estável enquanto o valor de -(Kp – 10)/2, for um valor maior do que zero, pois, desta forma, o sistema sempre cairá na situação em que os polos se tornam complexos conjugados, que residem sobre uma mesma linha vertical no semi-plano direito do plano complexo.
Levando em conta os conceitos explicados anteriormente, adote agora um valor de Kp = 15. Nesta situação, o incremento de Ki, faz com que o sistema se comporte da mesma maneira descrita pela figura 14, no entanto, para esta configuração, pode-se afirmar que o sistema é estável, e que se torna mais rápido, até tornar-se criticamente amortecido, quando ki = 6.25
Repare na figura abaixo, que conforme os polos vão se aproximando, o sistema responde de uma maneira mais rápida, até que estes se tornem sobrepostos, onde consegue-se obter a resposta mais ágil e que não tem comportamento oscilatório.
Conforme citado anteriormente, quando os polos do sistema passam a ser complexos, o incremento de Ki faz com que os mesmos sejam distanciados verticalmente, sendo assim, a componente imaginária dos polos aumenta e o sistema passa a ter uma característica oscilatória crescente.
Observe que o aumento de Ki, tornou a resposta do sistema mais rápida, porém como dito anteriormente, o preço deste incremento na velocidade para atingir o regime permanente é a oscilação imposta ao sistema.
A influência do ganho integral neste tipo de sistema no comportamento dos polos, pode ser ilustrada pela figura abaixo.
Esperamos que você tenha gostado deste conteúdo, sinta-se à vontade para nos dar sugestões, críticas ou elogios. Na próxima parte, realizaremos um estudo sobre a estabilidade de sistemas de segunda ordem com o controlador PI. Deixe seu comentário abaixo!








Que artigo foda, pra quem tá estudando teoria de controle sabe o quanto todos esses conceitos são abstratos, mas o artigo muito didaticamente deixou as informações claras. Agradeço desde já hahaha !! Continue com esse trabalho.
Obrigado, bem explicado.
Muito obrigado!
gostei bastante de toda a série, pena que aparenta ter sido descontinuada