Caros leitores, daremos continuidade à sequência de artigos na qual abordamos os Amplificadores Operacionais de uma maneira simples e direta, mas sem deixarmos de lado os principais conceitos e técnicas para análises.
Muito mais importante do que decorar as tradicionais fórmulas, devemos entender as análises realizadas para então chegarmos às fórmulas mais naturalmente. Neste ponto, caso não tenha conferido a primeira parte desta série, convido-o a acessa-la. As tradicionais fórmulas utilizadas para as configurações de amplificador inversor e não inversor servirão como base para o desenvolvimento das próximas análises, o que torna o processo muito mais simples e intuitivo. Mas para tal adicionaremos o conceito de superposição.
Novamente usaremos do App Every Circuit permitindo interatividade com os circuitos, além do software Multisim Student v.12 para montagem e apresentação das análises.
Teorema de superposição
O teorema de superposição possui grande importância dentro da eletrônica quando tratamos da análise de circuitos que são compostos basicamente por componentes eletrônicos com comportamento linear, ou que estejam operando dentro de sua região linear.
Através deste teorema, em um circuito com diversas fontes de alimentação (sejam fontes de tensão ou fontes de corrente), podemos obter as tensões e correntes a partir da análise separada de cada uma das fontes independentes. Ao final, os resultados algébricos das respectivas tensões e correntes serão somados, levando ao mesmo resultado que seria obtido através de uma análise nodal ou por malhas [1]. Circuitos com fontes dependentes também podem se encaixar na análise por superposição, mas são um passo a frente, ficando um pouco fora do nosso escopo neste momento.
De uma maneira bastante simples e direta devemos:
- Identificar as fontes independentes e escolher uma sequência para as análises;
- Para cada análise devemos selecionar uma fonte independente e zerar todas as outras fontes independentes;
- Calculas as tensões e/ou correntes;
- Repetir os passos 2 e 3 para todas as fontes independentes; e
- Ao final, somar os respectivos valores de tensão e/ou corrente.
Neste ponto é interessante relembrarmos o conceito de como “zerar uma fonte de alimentação”. As fontes de tensão serão substituídas por um curto-circuito entre seus polos (uma analogia a uma fonte de tensão com diferença de potencial nula, ou 0V). Já as fontes de corrente serão substituídas por circuitos abertos, como uma chave aberta (em analogia a uma fonte de corrente com corrente nula, ou 0A). Essa representação é apresentada na Figura 1.

Fonte: Próprio autor, arquivo pessoal
Para exemplificar o processo, adotemos o circuito da Figura 2, onde desejamos obter as tensões e correntes do circuito:

Fonte: Próprio autor, arquivo pessoal
Primeiramente realizamos a análise para a fonte de tensão e depois para a fonte de corrente (a ordem inversa também funcionaria normalmente). Para facilitar o entendimento foram inseridos alguns instrumentos nos respectivos trechos do circuito onde estão visíveis os valores medidos, conforme a Figura 3.

Fonte: Próprio autor, arquivo pessoal
Tabela 1 – Medições da figura 3
|
Análise 1 |
Análise 2 |
Somatório | |
|
VR1 |
6,6 V |
-9,9 V |
-3,3 V |
|
VR2 |
5,4 V |
9,9 V |
15,3 V |
|
IR1 |
0,3 A |
-0,45 A |
-0,15 A |
|
IR2 |
0,3 A |
0,55 A |
0,85 A |
A Figura 4 apresenta as medições com ambas as fontes comprovando o funcionamento do teorema:

Fonte: Próprio autor, arquivo pessoal
Entendido o conceito de superposição e de posse das equações básicas que expressam a tensão de saída das configurações inversora e não-inversora, começaremos a analise das próximas configurações.
Somadores
Os amplificadores somadores nos permitem somar n diferentes tensões obtendo na sua saída o resultado da operação. Começaremos nossa análise através do circuito da Figura 5, um amplificador somador inversor.

Fonte: Próprio autor, arquivo pessoal
O circuito possui duas fontes de tensão DC conectadas à entrada inversora do Amplificador Operacional através dos resistores RG1 e RG2. Com as devidas abstrações torna-se visível que temos basicamente uma configuração inversora. As duas fontes de tensão possuem respectivamente 2V e 3V, já a saída do Amplificador Operacional apresenta –5V, ou seja, a soma dos dois sinais com a inversão de polaridade esperada da configuração inversora.
Como mencionado anteriormente, faremos uso da teoria de superposição para entender a essência das análises e a origem da fórmula genérica.
Através da teoria de superposição obteremos os dois circuitos da Figura 6.

Fonte: Próprio autor, arquivo pessoal
O circuito tornou-se mais “simples”, entretanto podemos observar que os resistores RG1 e RG2 em ambas as configurações formam divisores de tensão aplicados à fonte de sinal. Adicionalmente a impedância RGtotal vista pela entrada não inversora não é somente o valor de RG1 ou RG2, mas sim uma combinação entre eles.
Complementarmente, para resolução desta etapa utilizaremos o teorema de Thévenin. Este teorema nos permite transformar grandes circuitos compostos por múltiplas fontes e múltiplos resistores, em um circuito reduzido com apenas uma fonte de tensão em série com uma resistência equivalente [2]. É uma técnica muito útil quando necessitamos analisar o impacto de mudanças na carga sem ter que recalcular todas as tensões e correntes do circuito. Fica a dica de darem uma revisada sobre o teorema de Thévenin e também sobre o teorema de Norton, uma variação utilizando fonte de corrente com um resistor em paralelo.
De maneira resumida, para calcular o equivalente de Thévenin, devemos:
- Calcular a tensão entre os pontos onde a carga é conectada, conhecida por VTH;
- Calcular o resistor equivalente visto pela carga, conhecido por RTH. Para isso devemos zerar as fontes do circuito e então calcular o resistor equivalente.
Realizando este procedimento para as duas fontes de sinal, obteremos os equivalentes da Figura 7:

Fonte: Próprio autor, arquivo pessoal
Com os circuitos equivalentes e através da fórmula para o cálculo de Vout (tensão sobre a carga RL), torna-se bastante simples calcularmos os resultados para ambas as configurações, onde obteremos respectivamente nas saídas, –2V e –3V. Portanto, a simples soma algébrica dos valores nos retornará o valor –5V apresentado anteriormente na simulação.
Esta análise demonstra o potencial do teorema de superposição, formando a base para análises futuras. Entretanto, na prática utilizamos fórmulas que nos levam diretamente ao resultado dos arranjos mais comuns.
A equação a seguir apresenta a fórmula genérica utilizada para a configuração de amplificador somador inversor:
| (1) |
Utilizando resistores RG’s com valores diferentes é possível ponderar entre os valores de entrada, de maneira que possuam maior ou menor peso no sinal de saída.
Caso todos os resistores RG’s possuírem o mesmo valor obteremos uma equação simplificada:
| (2) |
Para um último caso mais específico, se RF e os resistores RG’s possuírem o mesmo valor, a equação de saída será dada por:
| (3) |
A utilização desta configuração não fica restrita apenas a sinais DC, podendo ser aplicado também em sinais AC, conforme a Figura 8.

Fonte: Próprio autor, arquivo pessoal
Para os sinais AC (iremos nos ater apenas a sinais senoidais) devemos lembrar que estamos lidando com sinais no domínio complexo que possuem infinitas variações de amplitudes em função do tempo. Para recompor a forma de onda na saída seria necessário calcular a tensão em cada instante de tempo para cada fonte AC. Além deste processo ser inviável para ser realizado “na mão” (ou muito desumano para ser reproduzido em um número grande de pontos… apesar de ser extremamente simples para um computador ou mesmo um microcontrolador, desde que utilizemos um número finito de pontos…) normalmente buscamos o resultado RMS (root mean square), ou eficaz, na saída.
Caso os sinais AC a serem somados possuírem a mesma frequência e mesma fase devemos utilizar uma simples soma algébrica através da equação genérica apresentada anteriormente. Quando a frequência dos sinais for diferente não podemos mais utilizar este método, passando a utilizar somas vetoriais.
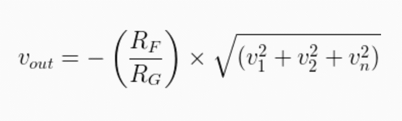
Considerando todos os RG’s com o mesmo valor:
| (4) |
Obs.: Para o caso anterior existem algumas particularidades que podem fugir a regra. Primeiramente, esta análise leva em consideração que os sinais são senoidais, não funcionando perfeitamente para outras formas de onda. Note que a soma algébrica é válida apenas quando frequência e fase são iguais, caso a fase dos sinais for diferente nenhuma das duas abordagens alcançará o resultado correto.
Com base no exemplo da figura anterior, considerando: v1 = 1 Vrms/100 Hz; v2 = 0,8 Vrms/200 Hz; vn = 0,5 Vrms/300 Hz; RF = 22 kΩ; RG’s = 10 kΩ. Teremos -3,024 Vrms na saída. O sinal negativo do resultado nos indica a defasagem de 180º do sinal de saída em relação à entrada.
A simulação a seguir apresenta um somador inversor. Aproveite para variar os parâmetros do circuito (RF, RG, valor de cada fonte de sinal, tipo do sinal – AC/DC) e se divertir um pouco mais com esta configuração.
OpAmp – Inverting Summing Amplifier – EveryCircuit (Para simulação clique no link, e certifique-se que esteja utilizando o navegador Chrome em um PC)
Além da configuração de somador inversor existe também a configuração de somador não inversor, entretanto esta não é muito comum de ser empregue ou mesmo de estar relacionada em alguns materiais didáticos devido a algumas peculiaridades.
A simulação a seguir apresenta um exemplo de somador não inversor onde três fontes DC de 1V cada são conectadas à entrada não inversora. O ganho deste circuito é igual a “2” de acordo com RF e RG.
OpAmp – Non-Inverting Summing Amplifier – EveryCircuit (Para simulação clique no link, e certifique-se que esteja utilizando o navegador Chrome em um PC)
À primeira vista poderíamos esperar 6V na saída, correto? Afinal, a soma das três fontes de 1V multiplicada pelo ganho levaria a este valor, mas como vemos na simulação o resultado na saída é 2V. O resultado pode parecer estranho, mas acredite, faz todo o sentido.
Aqui fica uma “tarefa”, ok… é melhor colocar como um pequeno desafio para não espantar ninguém. Utilizando a teoria de superposição e Thévenin chegue ao mesmo resultado, após isso varie os componentes do circuito e aproveite para treinar mais um pouco, vale a pena o divertimento! Quaisquer dúvidas podem postar nos comentários.
Subtrator ou Diferencial
Chegamos a uma das mais importantes configurações, o amplificador diferencial ou amplificador subtrator.
Esta configuração amplifica a diferença de potencial entre as entradas do Amplificador Operacional. Uma das maneiras mais interessantes e genéricas de analisarmos esta configuração é através do teorema de superposição, já que desta maneira podemos resolver circuitos com os arranjos mais adversos possíveis.
A Figura 11 apresenta um exemplo de configuração diferencial e através dele desenvolveremos as análises por superposição, para ao final chegarmos às tradicionais fórmulas.

Fonte: Próprio autor, arquivo pessoal
De acordo com o teorema devemos analisar as fontes separadamente e depois somar os resultados. Para V1 e V2 teremos as seguintes situações da Figura 12:

Fonte: Próprio autor, arquivo pessoal
Para V1 podemos notar uma configuração não inversora da qual sabemos a fórmula para calcular diretamente o sinal na saída, entretanto devemos notar que o sinal é aplicado a um divisor de tensão formado por R1-R2 antes de ser aplicado à entrada não inversora e isto deve ser levado em consideração. Desta maneira, genericamente teremos:
| (5) |
| (6) |
A esta altura é importante nos desprendermos das nomenclaturas que demos aos resistores e nos atentarmos as suas conexões, já que em muitos casos as nomenclaturas podem ser diferentes ou estar invertidas. Ou seja, devemos entender quem é o resistor da malha de feedback e qual o resistor que complementarmente controlará o ganho.
Para V2 notamos uma configuração inversora da qual também podemos obter o valor da saída diretamente através da fórmula. Adicionalmente vemos que os resistores R1 e R2 estão conectados diretamente ao GND do circuito, ou seja, estão em paralelo. Estes resistores (ou o seu equivalente) não terão impacto direto sobre o cálculo. Então teremos:
| (7) |
| (8) |
Agora nos resta somar os resultados:
| (9) |
| (10) |
Esta fórmula pode ser aplicada a qualquer configuração de amplificador diferencial, independente dos valores dos resistores estarem pareados ou serem totalmente diferentes (algo que não é tradicional).
Normalmente adotam-se resistores pareados, onde “R1 = R3 e R2 = R4”, e para esta condição obtemos a equação simplificada mais tradicional:
| (11) |
A simulação a seguir apresenta um amplificador diferencial. Aproveite para colocar em prática as equações e análises mudando os valores dos componentes e das fontes do circuito.
OpAmp – Differential Amplifier – EveryCircuit (Para simulação clique no link, e certifique-se que esteja utilizando o navegador Chrome em um PC)
O Amplificador diferencial tem como grande benefício sua alta rejeição a sinais de modo comum, ou seja, sinais que estejam presentes em ambas as entradas do Amplificador Operacional e coerentes em fase [3, 4]. Neste caso podemos citar um ruído comum às entradas ou um nível DC comum aos dois sinais.
É um “truque” muito utilizado em áudio através dos cabos balanceados, visando justamente minimizar os ruídos captados pelos cabos. Como o ruído tende a possuir amplitudes e fases semelhantes em ambos os condutores, acabam sendo atenuados de maneira bastante efetiva, além disso, existe um ganho de tensão ao sinal propriamente dito de aproximadamente 6dB (dobra a tensão). O mesmo conceito vem sendo amplamente adotado no mundo digital, vide os cabos de rede ou outras conexões de alta velocidade que utilizam vias balanceadas.
Na simulação a seguir é possível verificar a rejeição de modo comum. Um sinal senoidal foi aplicado a cada fonte simulando um ruído modo comum. Apesar de bastante visível nos sinais de entrada, é totalmente anulado na saída do amplificador. Aproveite para alterar a amplitude de alguma das fontes de ruído ou alterar a fase e verificar o impacto sobre o sinal na saída.
OpAmp – Differential Amplifier with common mode noise – EveryCircuit (Para simulação clique no link, e certifique-se que esteja utilizando o navegador Chrome em um PC)
Caros leitores, chegamos ao final de mais um artigo. Nesta segunda parte apresentamos o conceito de superposição junto à análise das configurações de amplificador somador e amplificador diferencial.
A junção dos conceitos abordados até agora formam a base para entendermos os amplificadores de instrumentação, ou instrumentation amplifiers, tradicionalmente representados pelos acrônimos INA ou IN, que serão abordados na sequência deste artigo.
Obrigado e até o próximo artigo!
Referências
[1] M. E. Auer. (2012). Electrical Engineering – Electric Circuits Theory. Disponível em: https://ext02.fh-kaernten.at/auer/intern/Subj/AEE/pdf/EE_01.pdf [2] S. Kurokawa. (2013). Análise de Circuitos Alimentados por Fontes Constantes. Disponível em: https://www.feis.unesp.br/Home/departamentos/engenhariaeletrica/apostila_eletricidade.pdf [3] R. Mancini. (2002). Op Amps for Everyone. Disponível em: https://web.mit.edu/6.101/www/reference/op_amps_everyone.pdf [4] W. Jung. (2005). Op Amp Applications Handbook. Disponível em: https://www.analog.com/library/analogDialogue/archives/39-05/op_amp_applications_handbook.htmlLinks para os artigos desta série:
Parte 01 – Amplificador Operacional – Introdução
Parte 02 – Amplificador Operacional – Superposição
Parte 03 – Amplificador Operacional – Amplificador de Instrumentação
Parte 04 – Amplificador Operacional – Fonte de Alimentação Simples









Qual seria a formula para demonstrar o ganho de um AOP somador inversor com duas entradas?
Olá Glaucia, a equação (1) é a mais genérica, funcionando independente da quantidade de entradas ou mesmo de resistores RG com valores diferentes.
Vale a pena ler seu material Haroldo. Parabens. Leao
Muito obrigado Leao Leao. Fico feliz em saber que gostou!
=D
Artigo muito bom!
Valeu brother!