Controlador proporcional em sistemas de segunda ordem

controlador proporcional eletrônico regimes transitórios Controlador proporcional sistemas de segunda ordem

Qual é o objetivo deste artigo?

Este artigo tem como função discutir mais um pouco do uso de controladores proporcionais (ou compensadores) em sistemas de controle. A intenção deste material é dar continuidade a este importantíssimo conteúdo de uma maneira didática para que possa ser facilmente assimilada. Nesta publicação serão abordados os conceitos relativos à aplicação de controladores proporcionais em sistemas de segunda ordem.

Sistemas de segunda ordem

Os sistemas de segunda ordem são aqueles cujo modelo pode ser escrito por uma equação diferencial de segunda ordem, ou, em outras palavras, são aqueles que possuem dois polos.

Contrariamente ao que ocorre em sistemas de primeira ordem, cujo comportamento é bastante uniforme, a resposta dos sistemas de segunda ordem varia radicalmente, de acordo com o valor de alguns dos seus parâmetros. Sendo assim, deve-se primeiro fazer uma classificação dos perfis existentes para tais sistemas visando uma boa compreensão dos fenômenos que ocorrem em cada caso.

Assim como nos sistemas de primeira ordem, aqui serão apresentadas algumas representações dos sistemas de segunda ordem, que ajudarão no estudo matemático a ser desenvolvido neste material. A representação básica de um sistema de segunda ordem é a seguinte:

CONT31

Entretanto, observe que, para analisar o comportamento destes sistemas, é necessário traduzir os termos presentes na função de transferência apresentada para parâmetros que estejam adequados para explicar os fenômenos ocorridos nas respostas destes. Sendo assim, existem duas formas padrão que podem auxiliar neste objetivo. Neste momento, serão mostradas as formas citadas, porém o significado físico dos termos mencionados irá ser demonstrado posteriormente.

A primeira forma padrão pode ser dada por:

CONT32

Enquanto a segunda forma padrão é definida como:

CONT33

A classificação de um sistema de segunda ordem é definida pela localização dos polos do mesmo. Existem três arranjos possíveis para os sistemas em questão, de modo que, estes podem possuir dois polos reais e distintos, dois polos reais e iguais e ainda dois polos complexos conjugados

Sabe-se que as raízes de uma equação de segundo grau podem ser determinadas pela fórmula de Bhaskara, e o tipo das mesmas é definido exclusivamente pelo discriminante da equação, popularmente conhecido como delta (argumento sob a raiz quadrada na fórmula de Bhaskara). As raízes da equação característica (polos do sistema), de acordo com a primeira forma padrão, são dadas por: 

CONT34

Neste momento, os sistemas serão classificados de acordo com a configuração dos seus polos, porém, estes irão apenas ser citados sem muito detalhamento, pois, mais adiante, este artigo contará com exemplos bastante completos para que o leitor entenda com facilidade o comportamento de cada um dos sistemas apresentados. Os sistemas são classificados da seguinte maneira:

  • Sistemas sobreamortecidos ou superamortecidos: Estes sistemas apresentam dois polos reais e distintos.
CONT52
  • Sistemas Criticamente amortecidos: Estes sistemas apresentam dois polos reais e iguais
CONT53
  • Sistemas subamortecidos: Estes sistemas apresentam dois polos complexos conjugados
CONT54

Efeitos da ação do controlador proporcional em sistemas de segunda ordem

Sistema em malha fechada.
Figura 1 – Sistema em malha fechada.

Neste momento serão apresentados os efeitos do uso de um controlador proporcional em sistemas de segunda ordem, visando uma melhor compreensão da influência do mesmo em sistemas de controle. 

Primeiramente, qual é o comportamento de um sistema de segunda ordem instável em malha aberta?

Para ilustrar a influência de um controlador proporcional em um sistema de segunda ordem, supõe-se em um primeiro momento um sistema de segunda ordem que em malha aberta seja instável, por exemplo, com um polo localizado no semi-plano direito do plano complexo na posição 2 e um polo localizado no semi-plano esquerdo do plano complexo na posição -10. Neste caso, a função de transferência do sistema será: 

CONT35

E a resposta ao degrau deste sistema pode ser visualizada na figura a seguir: 

Sistema instável.
Figura 2 – Sistema instável.

Como o leitor pode perceber, esta é uma situação de instabilidade semelhante à apresentada para o estudo de caso do sistema de primeira ordem, onde a saída do sistema possui uma componente exponencial cujo argumento é o fator 2t (correspondente ao polo em 2). Isto quer dizer que, conforme o tempo vai passando, esta saída será cada vez maior em virtude deste elemento (recomenda-se que o leitor consulte o artigo anterior caso tenha dúvida nesta etapa, pois, pode-se encontrar a dedução matemática deste passo no mesmo). 

O controlador proporcional pode estabilizar este sistema?

Imagine agora que o sistema apresentado, cuja função de transferência é G(s), seja colocado em malha fechada com o controlador proporcional inserido em seu ramo direto. A função de transferência do sistema nesta configuração passa a ser dada por:

CONT15

Ou, em termos do estudo de caso que esta sendo realizado: 

Observe que, neste momento, torna-se possível mudar a localização dos polos do sistema de acordo com a variação do valor do ganho proporcional, já que o polinômio característico, ou seja, o denominador da função, é alterado. 

Sendo assim, neste momento serão ilustrados três exemplos contendo as situações referentes às classificações citadas anteriormente. 

  • Primeira situação: Sistema superamortecido (ou sobreamortecido)
Raízes do sistema superamortecido.
Figura 3 – Raízes do sistema superamortecido.

Assim como foi explicitado anteriormente, este sistema possui dois polos reais distintos localizados no semi-plano esquerdo do plano complexo. Um grande intervalo de valores do ganho proporcional possibilita ao sistema atingir esta configuração, como por exemplo Kp = 30 (para este valor de Kp, os polos estão localizados em -1.55 e -6.45), confira na figura 3.

CONT37

Aplica-se agora um degrau unitário na entrada do sistema para obter a resposta típica de um sistema superamortecido. Observe que este tipo de sistema possui duas constantes de tempo e a sua resposta é bastante parecida com a de um sistema de primeira ordem estável, regida apenas por exponenciais decrescentes

CONT38

A figura abaixo mostra a saída do sistema superamortecido:

Resposta do sistema superamortecido.
Figura 4 – Resposta do sistema superamortecido.
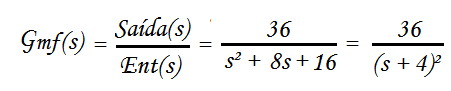
  • Segundo caso: Sistema criticamente amortecido
Raízes do sistema criticamente amortecido.
Figura 5 – Raízes do sistema criticamente amortecido.

Esta configuração é aquela em que o sistema possui dois polos reais e iguais, localizados no semi-plano esquerdo do plano complexo. Ao contrário do caso anterior, apenas um valor de Kp é capaz de fazer com que o sistema atinja este perfil. O valor em questão é Kp = 36 e nesta situação, os dois polos estão localizados em -4.

CONT39

Neste caso, aplica-se também um degrau unitário na entrada do sistema para obter a resposta típica de um sistema criticamente amortecido. Neste tipo de configuração, pode-se perceber que apenas uma das componentes da resposta do sistema é uma exponencial pura.

A figura abaixo mostra a saída do sistema superamortecido apresentada anteriormente juntamente com a resposta do sistema criticamente amortecido. Um detalhe muito importante que deve ser ressaltado para o leitor, é que este tipo de sistema (criticamente amortecido) é o que possui a resposta mais rápida, porém não-oscilatória (característica que será apresentada no próximo exemplo) de um determinado sistema.

Respostas dos sistemas sobreamortecido e criticamente amortecido.
Figura 6 – Respostas dos sistemas sobreamortecido e criticamente amortecido.
  • Terceiro caso: Sistema subamortecido 
Raízes do sistema subamortecido.
Figura 7 – Raízes do sistema subamortecido.

Esta talvez seja a configuração mais interessante de um sistema de segunda ordem a ser analisada, justamente por possuir uma dinâmica diferente das anteriores. Normalmente, este tipo de sistema demanda a implementação de controladores junto ao sistema para satisfazer as especificações exigidas.

Um sistema de segunda ordem subamortecido é aquele que possui duas raízes complexas conjugadas. Observe que para que o sistema em questão atinja esta configuração, o ganho proporcional Kp deve ser maior do que 36, pois, como demonstrado anteriormente, para este valor tem-se duas raízes reais e iguais, e para valores menores do que 36 o sistema admite também duas raízes reais, porém distintas, além de poder ser instável para ganhos muito pequenos. 

Os polos nesta situação estão localizados em -4 + 5.83j e -4 – 5.83j

CONT41

Assim como nos casos anteriores, aplica-se também um degrau unitário na entrada do sistema para obter a resposta típica de um sistema subamortecido. 

CONT42

Observe que o desenvolvimento dos termos deste tipo de resposta exigem um pouco mais de atenção por parte do leitor, devido ao fato de que as exponenciais existentes possuem números complexos como argumentos. Neste ponto, será determinada a resposta de uma das componentes complexas passo-a-passo para que o leitor possa entender com mais clareza o processo proposto.

Para tratar as exponenciais complexas, o leitor deve lembrar-se da seguinte relação:

CONT48

Dando prosseguimento ao desenvolvimento dos termos complexos, tem-se:

Desta maneira, simplificando os termos destacados no desenvolvimento realizado, pode-se escrever a saída do sistema como:

CONT44

A figura abaixo mostra as saídas dos sistemas sobreamortecido e criticamente amortecido apresentadas anteriormente juntamente com a resposta do sistema subamortecido.

Deve-se perceber que esta última possui uma característica oscilatória nos primeiros momentos de sua ocorrência. Isto acontece em virtude da existência das componentes oscilatórias na saída, que multiplicam as exponenciais decrescentes. 

Respostas dos sistemas sobreamortecido, criticamente amortecido e subamortecido.
Figura 8 – Respostas dos sistemas sobreamortecido, criticamente amortecido e subamortecido.

Observe que, independente do sistema de segunda ordem existente, o aumento do ganho proporcional diminui o ganho em regime permanente e, consequentemente, diminui o desvio entre a saída e a referência (saída desejada), assim como nos sistemas de primeira ordem.

Esperamos que você tenha gostado deste conteúdo, sinta-se à vontade para nos dar sugestões, críticas ou elogios. Na próxima parte, abordaremos, de maneira mais profunda, a influência do controlador proporcional em sistemas subamortecidos. Deixe seu comentário abaixo.

Entendendo o uso de controladores em sistemas de controle

Controlador proporcional Controlador proporcional em regimes transitórios
Licença Creative Commons Esta obra está licenciada com uma Licença Creative Commons Atribuição-CompartilhaIgual 4.0 Internacional.
Comentários:
Notificações
Notificar
2 Comentários
recentes
antigos mais votados
Inline Feedbacks
View all comments
Thiago Moreira
Thiago Moreira
10/02/2017 22:42

Sem palavras pra dizer quanto esse artigo ta sendo útil pra mim agora.

Home » Controlador proporcional em sistemas de segunda ordem

EM DESTAQUE

WEBINARS

VEJA TAMBÉM

JUNTE-SE HOJE À COMUNIDADE EMBARCADOS

Talvez você goste: