Neste artigo vamos entender as principais características que definem a qualidade de fontes de alimentação, conversores AC/DC, para uso geral ou de bancada e analisar as características de algumas opções.
Introdução
Na bancada de um profissional ou hobista de eletrônica e sistemas embarcados, um instrumento indispensável é uma fonte de alimentação de baixo ruído para uso geral. Esse instrumento deve atender a diversas práticas do dia a dia como: carregar baterias, alimentar circuitos de protótipos, alimentar kit de desenvolvimento.
Atendendo aplicações onde a carga necessite de maior capacidade de corrente que a fornecida por interfaces do computador ou o uso de baterias enquanto estamos desenvolvendo não é conveniente.
Demandada essa generalidade no seu uso, a disponibilidade de modelos e suas especificidades oferecidas pelo mercado. Cabe ao desenvolvedor a missão de selecionar qual fonte pode atender as necessidades de uso com uma boa relação custo benefício.
A qualidade de uma fonte de alimentação depende de sua tensão de carga, corrente de carga, regulação, rejeição a ruídos ou ripple. O balanço entre estas características pode guiar a escolha por uma fonte que atenda com qualidade as necessidades do usuário.
Regulação de carga
Numa fonte de alimentação linear, a maioria das topologias apresenta um transformador abaixador como entrada para um circuito retificador, geralmente em ponte, com filtro capacitivo. Esse circuito é nomeado como fonte não regulada e serve de entrada para o circuito de regulação de tensão que tem como objetivo manter a tensão de saída constante ou quase constante, mesmo na presença de variações relativamente grandes na tensão de linha e na corrente de carga. A figura 1 apresenta um esquema deste tipo de abordagem.
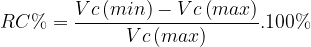
A regulação de carga, também conhecida como efeito de carga, que abreviamos aqui como RC é a variação na tensão de saída regulada quando a corrente de carga varia de do valor mínimo para o máximo. A equação 1 apresenta esta variação.

Nessa equação, Vc(min) ocorre quando a resistência de carga for infinita, ou seja, sem drenagem de corrente, e Vc(max) ocorre quando o seu valor for mínimo, ou seja, drenando o máximo de corrente da fonte, que é o valor limite em que se perde a regulação. Por exemplo, se a tensão de carga for 15V com carga zero e 14,9V com uma corrente de carga máxima. Então, RC = 0,1 V.
Como outro exemplo vamos analisar a regulação de carga para o modelo de fonte MPL-1305M da fabricante Minipa, sua folha de especificações pode ser encontrada aqui. Sua regulação de carga é especificada como ±(0,01%+3mV). Isso significa que se a tensão de saída desejada for 15V, a variação máxima devido à mudança na carga será em torno de 0.0045V (0.01% de 15V + 3mV) quando a carga for alterada. Esse valor é uma medida da capacidade do regulador de manter a estabilidade da tensão de saída regulada com variações na demanda de corrente da carga de seu valor mínimo para o máximo.
Frequentemente a regulação de carga é expressa sob a forma de uma porcentagem, dividindo a regulação de carga pela tensão com carga máxima e multiplicando o resultado por 100%, conforme a equação 2.

Como exemplo, tenhamos um circuito integrado regulador com especificação de regulação de carga de 10mV e uma tensão nominal regulada de 5V. Sua regulação de carga percentual ficará como:

Devemos levar em conta que esses dados presentes nas folhas de dados dos fabricantes são tomados sob certas condições, em uma análise prática fatores como: potência dissipada, temperatura e efeitos de ripple devem ser levados em consideração.
Regulação de linha
A tensão alternada de entrada é conhecida como tensão de linha, que no Brasil possui um valor nominal de 127V ou 220V. Na realidade, a tensão de linha em sua tomada pode variar bastante entre os horários de pico e de menor demanda. Devido a esta tensão alimentar a entrada do transformador e do circuito retificador, a saída do retificador e filtro é quase proporcional à tensão de linha.
Outra maneira de especificar a qualidade de uma fonte de alimentação é pela sua regulação de linha, também conhecida como efeito fonte. Abreviamos aqui como RL, a regulação de linha tem como definição a variação na tensão regulada de carga para uma variação específica na tensão de linha. A equação 4 apresenta esta variação.

Onde:
Vla = tensão de carga com tensão de linha alta.
Vlb = tensão de carga com tensão de linha baixa.
Suponhamos que uma variação aceita para a rede seja de 127V 6% e com isso a tensão de carga possa variar de 15V 0,3%, então:

Assim como a regulação de carga, a regulação de linha também é geralmente expressa em percentual. Tomando nosso modelo MPL-1305M sua especificação de regulação de linha é ±(0,01%+3mV), levando a uma regulação de linha de 9mV para uma tensão regulada de saída de 15V. Então, a regulação percentual será:

Vale ressaltar que tanto para regulação de linha quanto a de carga quanto mais próximo de zero estiver o percentual de regulação, melhor será a qualidade de nossa tensão regulada, ou seja, da fonte.
Rejeição à ondulação
Circuitos reguladores de tensão tem como um dos principais objetivos estabilizar a tensão de saída regulada contra variações na tensão de entrada. A ondulação, também conhecida pelo termo inglês ripple, é equivalente a uma variação periódica na tensão de entrada. Nos circuitos retificadores em onda completa geralmente fica em torno de 120Hz, devido ao processo de retificação dos 60Hz AC.
Logo, o regulador deve atenuar ao máximo possível essa ondulação ao ponto que seja imperceptível para a carga conectada a tensão regulada. Devido à realimentação negativa de muitos tipos de circuitos reguladores, essa característica pode ser encontrada com o termo dessensibilidade ou fator de sacrifício. Em folhas de dados de circuitos integrados reguladores é bastante comum encontrar o termo Ripple Rejection Ratio para esse efeito.
Recorrendo à folha de dados da fonte MPL-1305M, temos uma especificação para ripple e ruído de 1mV RMS, indicando que a variação na saída devido a esses efeitos é limitada a 1mV RMS em torno da tensão regulada. Isso é considerado um nível baixo de ondulação e ruído, o que é desejável em aplicações onde uma saída de alta qualidade é necessária. Em muitas aplicações de laboratório e eletrônica, uma ondulação e ruído de 1mV RMS seriam considerados aceitáveis.
Uma forma muito comum de encontrar essa especificação em folhas de dados é a relação de rejeição à ondulação, expressa como na equação 7.

Frequentemente encontramos essa especificação expressa em decibéis, conforme definido na equação 8.

Por exemplo, uma RR de -80dB significa que a rejeição à ondulação na saída é de 80dB menor que a da entrada. Isso quer dizer que o ripple de saída é 10000 vezes menor que o da tensão de entrada.
Medições e testes
Tomaremos agora, caro leitor, o caminho experimental para analisar uma fonte presente na bancada do autor. Fonte essa feita a mão, as famosas fontes de bancada “handmade” o objetivo deste instrumento é ser uma fonte regulável que possa fornecer tensões reguladas até uns 30V com o mínimo possível de queda de tensão quando demandada cargas até uns dois amperes.
A fonte é composta por um transformador, circuito retificador em onda completa, filtro capacitivo e circuito integrado regulador de tensão LM350. Para as medições foram utilizados os seguintes instrumentos: multímetro Hikari HW-2090, osciloscópio HANTEK DSO5102P. Como carga foi utilizado um arranjo de lâmpadas automotivas que consome em torno de 2A em 12V.
Primeiramente, fazemos a medida da tensão regulada sem carga na saída e seu resultado é apresentado na figura 2. Posteriormente, conectamos a carga e realizamos a medição com a carga máxima, conforme apresentado na figura 3.
Com essas medições podemos aferir que a regulação de carga para a fonte nessas condições de medição fica em 7%. Sendo uma medida aceitável tendo em vista que estamos operando com o regulador fora da temperatura de junção padrão especificada em datasheet de 25 °C e no limite de sua dissipação de potência de 25W (12,05V x 2,127A), conforme folha de dados que pode ser encontrada aqui. A figura 4 mostra a medida de corrente de carga fornecida pela fonte para as lâmpadas automotivas. Vale a observação de que a fonte conseguiu manter essa condição por volta de 40 minutos usando o dissipador de calor presente em sua montagem e a ventilação forçada, até que atingiu seu limite de temperatura, desarmando o regulador e preservando a integridade da fonte. Provando que o circuito interno de proteção térmica funciona bem. Este vídeo do canal WR Kits ilustra bem como realizar este tipo de teste.
Agora, vamos verificar a rejeição a ondulação, para isso realizamos as medições no filtro capacitivo que é a entrada do circuito regulador de tensão com a carga conectada utilizando o osciloscópio. Observe que com a carga conectada a tensão apresentada na entrada do regulador é de 26V médio para as condições de medição, conforme mostra a figura 5. Com o osciloscópio em modo AC podemos verificar melhor a condição da ondulação de entrada com uma ondulação de 2,6V. Como essa parte do circuito é a fonte não regulada, a carga e descarga do capacitor é dada pela equação 9.

Para uma corrente de 2A e uma capacidade de filtro total de 5,70033mF, temos uma tensão de ondulação em torno de 2,924V. O que está condizente com a medida apresentada pela figura 5.
Por fim, realizamos a medida da ondulação presente na saída regulada com essas condições de entrada, conforme apresentado pela figura 6. Para essas condições e utilizando o dado da relação de rejeição de ondulação presente na folha de dados do regulador, para o pior caso teríamos uma rejeição de 65 db. Então, utilizando a equação 8, vem:

Figura 6 – Medida da ondulação da fonte regulada em modo AC em escala de 200mV (superior) e com zoom na escala de 20mV (inferior).
Conforme pode ser visto na figura 6 não temos uma ondulação significativa, os picos dispersos na medida se deve às limitações da própria condição de medição, nas pontas de prova, instrumento e principalmente aterramento. Para uma carga de 1,5 A em 12,6V regulados podemos observar na figura 7 a estabilidade da tensão regulada.
Conclusões
Vimos neste artigo algumas das características básicas para determinar a qualidade de uma fonte de alimentação linear. Essas considerações se aplicam a fontes de bancada, fontes integradas para PCB’s como as da série IRM-10 folha de dados e também fontes chaveadas.
Observamos também algumas medidas básicas de laboratório para aferir a regulação e rejeição à ondulação sob certas condições de teste e interpretamos alguns dados presentes em manuais e folhas de dados de fontes e reguladores integrados.
E você, caro leitor, já possui sua fonte de bancada? Pretende montar uma? Para quem se interessar sobre a fonte handmade analisada no artigo deixo o link do projeto que visa ter uma fonte variável de uso geral com baixo custo e qualidade razoável.
Referências
MALVINO, A. P. Eletrônica: volume 2. 4ª ed. São Paulo: Makron Books, 1995.
BOYLESTAD, R.; NASHELSKY, L. Dispositivos Eletrônicos e Teoria de Circuitos. 11ª ed. Prentice-Hall do Brasil, 2013.
BRAGA, Newton C. Disponível em: <https://www.newtoncbraga.com.br/?view=article&id=6268:art961&catid=52\>. Acesso em: 12/01/2024.
Crédito para a imagem destacada:Vladimir Zapletin.








