Qual é o objetivo deste artigo?
Este é o terceiro artigo da série sobre controle digital de sistemas dinâmicos. No primeiro artigo desta sequência, introduziu-se o conceito de controle digital, além disso, demonstrou-se também quais são os elementos responsáveis por gerar as ações de controle, bem como os tipos dos sinais existentes em uma malha onde existe um controlador digital. Enquanto isso, na segunda publicação desta série abordou-se o princípio da amostragem (ressaltando o conceito de amostragem ideal), tópico extremamente necessário quando utiliza-se um recurso computacional para ser o controlador de um sistema.
Sendo assim, este conteúdo tem como função dar prosseguimento ao estudo realizado sobre amostragem, exemplificando o processo que realmente ocorre em confronto com o modelo ideal apresentado anteriormente.
O conceito de amostragem ideal
No artigo anterior, foi dito que o sinal de entrada de um controlador digital, geralmente chamado de sinal de erro atuante, é na grande maioria das vezes um sinal contínuo no tempo. Portanto, ele deve ser alterado de modo a estar em uma forma conveniente para poder ser interpretado pelo controlador digital, que por sua vez trabalha com sinais discretos no tempo. O processo pelo qual um sinal contínuo no tempo é modelado como um sinal discreto no tempo denomina-se amostragem.
Ainda em relação ao conteúdo publicado anteriormente, ressaltou-se o conceito de amostragem ideal, isto é, um modelo matemático utilizado para representar um sinal amostrado obtido através de um sinal contínuo no tempo. Como todo modelo ideal, este não pode ser reproduzido fisicamente, porém fornece uma boa base para a realização de análises referentes ao comportamento dos sistemas de controle digitais.
Segundo este conceito, um sinal amostrado é constituído por sequência de valores obtida através da seleção de alguns pontos específicos, igualmente espaçados, existentes sobre a curva de uma função contínua no tempo x(t), conforme apresentado na figura abaixo.
O modelo matemático de um sinal amostrado através de um amostrador ideal é dado por:

Onde x*(t) é o sinal amostrado, x(kT) são valores do sinal x(t) em instantes múltiplos do período de amostragem T. Além disso, nota-se a existência do impulso unitário deslocado de 0 para um instante arbitrário kT, cujo objetivo é representar graficamente no tempo o valor da função x(t) no instante kT (caso o leitor tenha dificuldade no entendimento desta parte, sugere-se recorrer ao artigo anterior).
Lembre-se que também é possível representar um sinal amostrado no domínio da frequência.

O mecanismo da amostragem real
Basicamente, o que difere o princípio de funcionamento de um amostrador ideal e de um amostrador real é que, neste último, o valor de um determinado sinal em um certo instante é mantido durante um período de tempo, para que os estágios posteriores à amostragem possam recebê-lo de maneira adequada, conforme apresentado na figura 3.
Note que, a equação que representa um sinal amostrado x*(t) não pode ser utilizada para representar a maneira pela qual o sinal x(t) foi dividido de acordo com a figura 3, pelo fato desta amostragem não levar em conta apenas o instante no qual a função assume um determinado valor, mas sim um intervalo a partir deste instante citado.
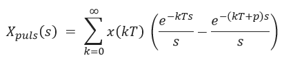
Sendo assim, para modelar o comportamento da amostragem real de um sinal, chama-se de xpuls(t), o sinal obtido através de conjunto dos pulsos provenientes do sinal x(t).
Para entender o significado da expressão apresentada anteriormente, note, por exemplo que:
- O primeiro termo (pulso) da função xpuls(t) é definido como x(0)[h(t) – h(t – p)], onde x(0) é o valor da função x(t) no instante t = 0 e a parcela [h(t) – h(t – p)] corresponde à subtração de dois degraus unitários, um iniciado em t = 0 (responsável por conduzir o valor de x(0) a partir do instante t = 0) e outro iniciado em t = p (observe que este degrau é utilizado para anular o efeito do primeiro a partir do instante t = p).
Seguindo a linha de raciocínio apresentada, representa-se os demais pulsos de altura equivalente ao valor da função x(t) em alguns instantes específicos t = kT, onde T é o período de amostragem e p corresponde à largura do pulso. Logo, pode-se escrever a equação que representa o sinal xpuls(t) da seguinte maneira:

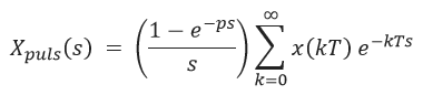
Note que também é possível representar este sinal no domínio da frequência (lembre-se que os termos exponenciais divididos por s representam degraus unitários deslocados no tempo).

Portanto, pode-se manipular a equação e obter o seguinte resultado:

Neste momento, sugere-se que o leitor observe atentamente a equação demonstrada anteriormente e perceba que o somatório existente na mesma é exatamente a representação matemática do resultado da amostragem ideal de um sinal X(s), ou seja X*(s), portanto, caso a função de transferência seja denominada, por exemplo, A(s), pode-se afirmar que:

Esta Função de transferência A(s) é a responsável por determinar a largura do pulso que irá acompanhar cada ponto do somatório. Esta função é comumente denominada em um diagrama de blocos, como sendo um bloco segurador, de modo que, este torna-se extremamente interessante quando a largura do pulso coincide com o período de amostragem utilizado, isto é, quando p = T. Neste caso diz-se que o bloco em questão é um segurador de ordem zero ou zero-order hold (nomenclatura bastante encontrada na literatura).

Quando um sinal é amostrado, utilizando um segurador de ordem zero, este passa a ser da seguinte forma:
Nos próximos artigos…
A intenção da construção desta série consiste em produzir um material de fácil entendimento e que possa ser aproveitado para auxiliar na compreensão dos fenômenos existentes em malhas de controle que envolvem um controlador digital. Portanto, pretende-se apresentar conceitos teóricos de maneira bastante clara e propor alguma reprodução prática, quando possível. No próximo artigo, abordaremos as equações de diferenças finitas ou simplesmente, equações às diferenças.
Esperamos que você tenha gostado deste conteúdo, sinta-se à vontade para nos dar sugestões, críticas ou elogios. Deixe seu comentário abaixo.
Referências
MAYA, Paulo Alvaro, LEONARDI, Fabrizio. Controle Essencial. Editora Prentice Hall
OGATA, Katsuhiko. Discrete-time Control Systems. Editora Prentice Hall, 2ª Edição
CASTRUCCI, Plínio, SALES, Roberto Moura. Controle Digital.Editora Edgard Blucher LTDA
NISE, Norman. Control Systems Engineering. Editora LTC, 6ª Edição






