Para analisar circuitos elétricos somente a lei de Ohm não é suficiente. Porém, uma vez associada com as duas leis de Kirchhoff, é formado um poderoso conjunto de ferramentas que permite analisar variados circuitos.
Neste artigo entenderemos o que são e como aplicar cada uma das leis de Kirchhoff.
Desenvolvimento
A principal diferença entre às duas leis é que a lei de Kirchhoff para corrente se baseia na lei da conservação da carga, enquanto a lei de Kirchhoff para tensão se baseia no princípio da conservação da energia.
Lei de Kirchhoff para Corrente (LKC) ou Lei dos Nós
A primeira lei de Kirchhoff define que:
A soma algébrica das correntes que entram e saem de uma região, chamada nó, é igual a zero.
Também é comum ver a seguinte definição:
A soma das correntes que entram em um nó deve ser igual à soma das correntes que saem do nó.
É válido enfatizar que o nó é a junção de dois ou mais caminhos pelo qual a corrente percorre o circuito elétrico. Na Figura 1, temos o nó do circuito destacado para uma melhor compreensão do conceito.
Observe que a corrente que entra se divide em duas, cada uma indo para um caminho do circuito. Embora isso ocorra, não significa que o valor de iT será dividido em duas partes iguais, apenas que a soma de i1 e i2 deve ser igual a iT.
Lei de Kirchhoff para Tensão (LKT) ou Lei das Malhas
A lei de Kirchhoff para tensão é uma das mais importantes, por não se aplicar apenas a circuitos de corrente contínua, mas também de corrente alternada; digitais; dentre outros. Conhecida como a segunda lei de Kirchhoff, ela estabelece que:
A soma algébrica de todas as tensões em torno de um caminho fechado, também chamado de laço ou malha, é zero.
Para aplicar a lei das malhas é preciso fazer algumas considerações. Primeiramente, a polaridade será responsável pelo sinal da tensão. Então, adotaremos que ao percorrer o laço a partir do potencial negativo para o positivo teremos o sinal positivo, do contrário negativo. Lembre-se que é possível assumir outra convenção.
Além disso, deve-se definir em qual sentido percorrer o laço: horário ou anti-horário. Isso porque, o sentido que percorremos o laço definirá de que potencial estaremos partindo, algo que impactará no sinal da tensão. Aqui definiremos o sentido como horário, mas se o sentido escolhido fosse o anti-horário, o resultado deveria ser o mesmo: a soma das tensões deve ser 0.
Aplicando LKT a uma malha
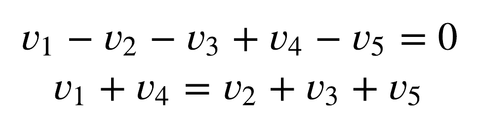
Na Figura 2, temos um circuito fechado de um único laço com cinco elementos, as diferenças de potencial de cada um estão definidas de v1 a v5.
Aplicando a lei das malhas na Figura 2, encontramos:
Partindo de v1 no sentido horário, temos:
- v1, v4: positivo, pois estamos indo do potencial negativo para o positivo;
- v2, v3, v5: negativo, pois estamos indo do potencial positivo para o negativo.
Note que adotando o sentido anti-horário, Figura 3, o resultado é o mesmo.
Aplicando a lei das malhas, encontramos:
Partindo de v1 no sentido anti-horário, temos:
- v1, v4: negativo, pois estamos indo do potencial positivo para o negativo;
- v2, v3, v5: positivo, pois estamos indo do potencial negativo para o positivo.
Aplicando LKT a duas ou mais malhas
Com mais de uma malha é preciso realizar o mesmo procedimento, mas em cada uma das malhas diferentes. Observe na Figura 4 que ao dividir o circuito em 3 malhas foi preciso considerar o elemento de tensão v2 na malha 1 e 2, isso é importante para não errar nos cálculos das tensões ou correntes.
Referências
ALEXANDER, Charles K.. Fundamentos de circuitos elétricos. Porto Alegre: Amgh, 2013.
BOYLESTAD, Robert L.. Introdução à análise de circuitos. São Paulo: Pearson Prentice Hall, 2012.
Imagem de destaque:
https://pt.wikipedia.org/wiki/Ficheiro:Kirchhoff_voltage_law.svg?tableofcontents=1









